阿摩線上測驗
登入
首頁
>
技檢◆電腦軟體應用-丙級
> 109年 - 109-1 技術士技能檢定學科測試試題-丙級:11800電腦軟體應用#85325
109年 - 109-1 技術士技能檢定學科測試試題-丙級:11800電腦軟體應用#85325
科目:
技檢◆電腦軟體應用-丙級 |
年份:
109年 |
選擇題數:
80 |
申論題數:
0
試卷資訊
所屬科目:
技檢◆電腦軟體應用-丙級
選擇題 (80)
1. 在 Windows 7 系統中,下列何者是正確安裝軟體的方法?(A)將軟體光碟放入光碟機,系統會啟動自動 安裝程式(B)使用控制台的解除安裝程式(C)使用程式集的啟動選項(D)使用開始功能表的執行選項。
2. 對需考慮資訊安全的公司或單位,下列何者是屬於進出公司必要進行安全管制的可攜式設備或可攜式 儲存媒體?(A)手機、隨身碟、平板電腦、筆記型電腦(B)手機、隨身碟、筆記型電腦、投影機(C)手機、 隨身碟、平板電腦、投影機(D)隨身碟、平板電腦、筆記型電腦、投影機。
3. 下列何者為制定網際網路(Internet)相關標準的機構?(A)IETF(B)IEEE(C)ISO(D)ANSI。
4. 依據我國現行國家標準規定,冷氣機的冷氣能力標示應以何種單位表示?(A)BTU/h(B)RT(C)kcal/h(D)kW。
5. Linux 是屬何種系統?(A)資料庫系統(Database Systems)(B)作業系統(Operation Systems)(C)編輯系統(E ditor Systems)(D)應用系統(Application Systems)。
6. 大數據(Big Data)分析中的”大量數據”,指的是哪個特性?(A)Variety(B)Velocity(C)Volume(D)Veracity。
7. 下列何種 IEEE Wireless LAN 標準的傳輸速率最低?(A)802.11g(B)802.11n(C)802.11a(D)802.11b。
8. 電腦中,一個 24×24 點的中文字型,在記憶體中共佔用了多少位元組?(A)64(B)48(C)24(D)72。
9. 下列哪一項的能源效率標示級數較省電?(A)1(B)2(C)4(D)3。
10. 在 Windows 7 中,若要將自己的照片設定成桌面的圖案,應在「個人化」視窗按哪一個選項?(A)螢幕 保護裝置(B)音效(C)視窗色彩(D)桌面背景。
11. 下列何者為 RAID(Redundant Array of Independent Disks)技術的主要用途?(A)儲存資料(B)傳輸資料(C) 播放影片(D)播放音樂。
12. 主要的硬體安全防護措失中,下列何者不正確?(A)虛擬電腦系統(Virtual machine)(B)核心設計(Kernel design)(C)記憶體的保護(D)登入密碼(Login-Password)。
13. 活線作業勞工應佩戴何種防護手套?(A)防振手套(B)耐熱手套(C)絕緣手套(D)棉紗手套。
14. 在 Windows 7 中,若要更改顯示器的視窗外框色彩,應在「個人化」視窗按哪一個選項?(A)視窗色彩 (B)螢幕保護裝置(C)音效(D)桌面背景。
15. GNU/Linux 的最高系統管理員帳號是?(A)root(B)administrator(C)admin(D)supervisor。
16. 下列何者,非屬法定之勞工?(A)被派遣之工作者(B)受薪之工讀生(C)部分工時之工作者(D)委任之經理 人。
17. 勞工工作時右手嚴重受傷,住院醫療期間公司應按下列何者給予職業災害補償?(A)基本工資(B)前 1 年 平均工資(C)前 6 個月平均工資(D)原領工資。
18. 下列何者為專有名詞「WWW」之中文名稱?(A)區域網路(B)全球資訊網(C)網際網路(D)社群網路。
19. 下列何者是指電腦中所使用的中文字型,是依每一筆劃的起點、方向以及終點等資料儲存?(A)矩陣法 (B)點字法(C)線段法(D)字根法。
20. 下列何者不是資訊安全威脅的攻擊目的?(A)獲得歸屬感(B)侵入(C)竄改或否認(D)阻斷服務。
21. 學校駐衛警察之遴選規定以服畢兵役作為遴選條件之一,根據消除對婦女一切形式歧視公約(CEDA W),下列何者錯誤?(A)已違反 CEDAW 第 1 條對婦女的歧視(B)駐衛警察之遴選應以從事該工作所需的 能力或資格作為條件(C)服畢兵役者仍以男性為主,此條件已排除多數女性被遴選的機會,屬性別歧視 (D)此遴選條件未明定限男性,不屬性別歧視。
22. 下列哪一種記憶體是利用紫外線光的照射來清除所儲存的資料?(A)EEPROM(B)SRAM(C)PROM(D)EPROM。
23. 亂丟香菸蒂,此行為已違反什麼規定?(A)毒性化學物質管理法(B)刑法(C)民法(D)廢棄物清理法。
24. 在 Windows 7 系統中,下列何種圖示不能被刪除?(A)網路(B)使用者的文件(C)電腦(D)資源回收筒。
25. 在 Windows 7 系統下,「控制台」中之何種功能可用來安裝新的輸入法?(A)系統(B)字型(C)地區及語言 選項(D)鍵盤。
26. 直接把光纖接到用戶的家中之網路技術是?(A)Cable Modem(B)FTTH(C)Ethernet(D)ADSL。
27. 下列何種內碼可以支援多國語言?(A)Unicode 碼(B)Binary 碼(C)BIG-5 碼(D)EBCDIC 碼。
28. 甲公司開發部主管 A 掌握公司最新技術製程,並約定保密協議,離職後就任同業乙公司,將甲公司之 機密技術揭露於乙公司,使甲公司蒙受巨額營業上損失,下列何者「非」屬 A 可能涉及之刑事責任? (A)營業秘密法之以不正方法取得營業秘密罪(B)營業秘密法之未經授權洩漏營業秘密罪(C)刑法之背信 罪(D)刑法之洩漏工商秘密罪。
29. 下列何者是決定點矩陣列表機列印品質的最重要因素?(A)緩衝區(Buffer)大小(B)送紙方面(C)與主機連 接介面(D)DPI(Dot per Inch)的大小。
30. Windows 8 在已設定印表機的「印表機內容」選擇「連接埠」,要設定使用的連接埠,下列哪一項不 會出現在選擇清單下?(A)COM1(B)File:(C)PS/2(D)LPT1。
31. 下列有關電腦病毒的敘述及處理,何者正確?(A)由於 Word 文件不是可執行檔,因此不會感染電腦病 毒(B)購買及安裝最新的防毒軟體,即可確保電腦不會中毒(C)上網瀏覽網頁有可能會感染電腦病毒(D)關 閉電腦電源,即可消滅電腦病毒。
32. 下列何者是開放文檔格式(OpenDocument Format)所規範的簡報檔案副檔名?(A).odp(B).pptx(C).ppt(D).odt。
33. 有關觸電的處理方式,下列敘述何者錯誤?(A)通知救護人員(B)把電源開關關閉(C)使用絕緣的裝備來移 除電源(D)應立刻將觸電者拉離現場。
34. 下列 C/C++程式片段,何者敘述正確?(A)While 應該改成 while(B)小括號應該改成大括號(C)sum = sum +30; 必須使用大括號括起來(D)While ( sum <=1000 )之後應該要有分號。
35. 對於 Windows 7 的「TrueType 造字程式」的敘述,下列何者為真?(A)可以造出向量字型(B)可以指定 跟現有輸入法結合(C)只能設定使用 UNICODE 的字碼(D)無法匯入點陣字型檔。
36. 下列何種技術可用來過濾並防止網際網路中未經認可的資料進入內部,以維護個人電腦或區域網路的 安全?(A)網路流量控制(B)防火牆(C)位址解析(D)防毒掃描。
37. 在 Microsoft Word 2010 中,製作紙張方向為直向及橫向同時存在的文件時,需在文件中插入下列哪 個符號?(A)分節符號(下一頁)(B)分頁符號(C)文字換行分隔符號(D)分欄符號。
38. 以下的檔案格式中,何者無法在 Windows 7 的「媒體播放程式 Media Player」播放?(A).RMVB(B).AV I(C).WAV(D).MID。
39. 下列何種圖案於放大或縮小後不失真?(A)立體圖(B)向量圖(C)矩陣圖(D)點陣圖。
40. 依能源局「指定能源用戶應遵行之節約能源規定」,在正常使用條件下,公眾出入之場所其室內冷氣 溫度平均值不得低於攝氏幾度?(A)24(B)22(C)26(D)25。
41. 有關非對稱式加解密演算法之敘述,下列何者「不正確」?(A)加解密速度一般較對稱式加解密演算法 慢(B)提供不可否認性功能(C)提供機密性保護功能(D)需將金鑰安全的傳送至對方,才能解密。
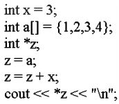
42. 下列 C/C++程式片段,輸出結果何者正確?(A)2(B)3(C)4(D)1。
43. 在鐵路局網路訂票系統中,下列何者為不適用的資料處理方式?(A)即時處理(B)分散式處理(C)批次處理 (D)交談式處理。
44. 在 ISMS 的稽核報告中,不滿足標準條款規定的,稱之為何?(A)缺失事項(defect)(B)建議事項(recomm end)(C)不符合事項(non-conformance)(D)不足事項(deficient)。
45. 系統安全漏洞發生的主要原因為何?(A)系統程式開發之疏失(B)電腦儲存空間不足(C)電源供應不穩定 (D)硬體速度過慢。
46. 下列何種檔案系統的單一檔案之大小上限為 4GB?(A)ext 3(B)ext 2(C)NTFS(D)FAT32。
47. 「資料緩衝區(Data Buffer)」的作用為何?(A)防止因斷電所造成之資料流失(B)增加硬碟(Hard Disk)之 容量(C)避免電腦當機(D)暫存資料,以做後續處理。
48. IBM 於 2009 年提出下列何種概念,可視為物聯網的雛型?(A)智慧地球(B)感知城市(C)智慧城市(D)行動 地球。
49. 一個邏輯閘,若有任一輸入為 1 時,其輸出為 0,則此邏輯閘為(A)XOR 閘(B)NOR 閘(C)OR 閘(D)AND 閘。
50. Windows 作業系統不可以替下列何者指定 NTFS 權限?(A)副檔名(B)資料夾(C)檔案(D)子資料夾。
51. 下列哪個 Linux 指令無法用來改變檔案的權限?(A)bc(B)chown(C)chgrp(D)chmod。
52. 關於 Apache Spark 運作的敘述,下列何者正確?(A)程式只能在記憶體內做運算(B)非常不適合用於機 器學習演算法(C)程式只能在磁碟內做運算(D)能將資料加載至叢集記憶體內,並可多次對其進行查詢。
53. 大數據(Big Data)分析的標的來源為何?(A)原始數據(Raw Data)(B)隨機取夠多樣本即可(C)依據統計理 論取樣本(D)分類取樣本。
54. 陳先生到機車行換機油時,發現機車行老闆將廢機油直接倒入路旁的排水溝,請問這樣的行為是違反 了(A)廢棄物清理法(B)飲用水管理條例(C)職業安全衛生法(D)道路交通管理處罰條例。
55. 「10BaseT 乙太網路(Ethernet)」,其中 10 表示頻寬為多少 Mbps?(A)100(B)10(C)1(D)20。
56. 大數據(Big Data)分析方式中,最能夠直觀呈現大數據特點的方法是?(A)可視化分析(Visibility Analy sis)(B)預測性分析(Predictive Analysis)(C)資料管理分析(Data Management Analysis)(D)資料探勘(Data Mining)。
57. 下列各專有名詞對照中,何者錯誤?(A)FA:工廠自動化(B)SOHO:小型家庭辦公室(C)EC:電子商務(D) OA:全球衛星定位系統。
58. 在 Microsoft Word 2010 中,合併列印的「電子郵件訊息」,透過下列哪項來寄送電子郵件?(A)LINE (B)Gmail(C)Outlook(D)Facebook。
59. 何謂水足跡,下列何者是正確的?(A)水循環的過程(B)每人用水量紀錄(C)水利用的途徑(D)消費者所購買 的商品,在生產過程中消耗的用水量。
60. 在 Windows 8 下,下列何者為預設的字型?(A)點陣字型(B)向量字型(C)ClearType 字型(D)TrueType 字型。
61. 如果電腦的速度變慢,增加下列何者的容量或速度大小將不會加快電腦反應速度?(A)隨機存取記憶體 (B)CPU(C)光碟機(D)虛擬記憶體。
62. 下列何者不屬於保護電腦資料的安全措施?(A)消防設施(B)電路安全系統(C)投保產物險(D)工作人員意 外險。
63. Windows 登入時,若鍵入的密碼其「大小寫不正確」會導致下列何種結果?(A)Windows 將先關閉,並 重新開機(B)進入 Windows 的安全模式(C)仍可以進入 Windows(D)要求重新輸入密碼。
64. 個人電腦的插孔顏色,依 PC99 規格書建議,「麥克風插孔」是何種顏色?(A)青綠色(B)黃色(C)粉紅色 (D)淺藍色。
65. 因為工作本身需要高度專業技術及知識,所以在對客戶服務時應(A)保持親切、真誠、客戶至上的態度 (B)不用理會顧客的意見(C)若價錢較低,就敷衍了事(D)以專業機密為由,不用對客戶說明及解釋。
66. 下列何種介面卡可用來將數位資料轉換成類比訊號並傳送至喇叭?(A)網路卡(B)顯示卡(C)數據卡(D)音 效卡。
67. 具有後進先出(Last In Fast Out)的資料結構是(A)佇列(B)堆疊(C)串列(D)樹狀。
68. 在 Windows 8 的「檔案總管」中之「本機」圖示上按右鍵,並選擇快顯功能表中的「內容」,則會出 現哪個視窗?(A)系統內容(B)控制台(C)顯示內容(D)磁碟內容。
69. 違反環境保護法律或自治條例之行政法上義務,經處分機關處停工、停業處分或處新臺幣五千元以上 罰鍰者,應接受下列何種講習?(A)環境講習(B)衛生講習(C)道路交通安全講習(D)消防講習。
70. 「八進位數 123」等於「十進位數」的(A)38(B)97(C)83(D)79。
71. 下列何者不是智慧型手機作業系統?(A)iOS(B)Symbian(C)Mongo(D)Android。
72. 下列有關數位憑證的敘述,何者正確?(A)只能由警察局核發(B)自然人憑證不屬於數位憑證(C)可用來辨 識認證對象的身分(D)自然人憑證只有公司行號能申請,個人無法申請。
73. 廚房設置之排油煙機為下列何者?(A)局部排氣裝置(B)排氣煙函(C)整體換氣裝置(D)吹吸型換氣裝置。
74. 從事專業性工作,在與客戶約定時間應(A)保持彈性,任意調整(B)能拖就拖,能改就改(C)自己方便就好, 不必理會客戶的要求(D)儘可能準時,依約定時間完成工作。
75. 要將資料列印在複寫式三聯單上,使用下列哪一種印表機最適合?(A)噴墨印表機(B)雷射印表機(C)事務 機(D)點陣式印表機。
76. Windows 7 內建防火牆(Firewall)的功能敘述,下列何者有誤?(A)可記錄連線至電腦的所有成功、失敗 相關資訊(B)可偵測或停用電腦上的病毒及蠕蟲(C)可阻擋 ICMP 封包,避免網際網路的攻擊(D)可阻擋未 設定為例外的應用程式與網際網路連接。
77. 下列何種機制可允許分散各地的區域網路,透過公共網路安全地連接在一起?(A)BAN(B)VPN(C)WSN (D)WAN。
78. 負責電腦開機時執行系統自動偵測及支援相關應用程式,具輸入輸出功能的元件為下列何者?(A)RA M(B)DOS(C)I/O(D)BIOS。
79. 電腦病毒的侵入是屬於?(A)天然災害(B)人為過失(C)機件故障(D)惡意破壞。
80. 主動式標籤的特性為何?(A)不會回傳資料至讀取器只能由讀取器自行讀取(B)不需要電源就可主動回 傳資料至讀取器(C)通常需要裝配電池才可回傳資料至讀取器(D)主動回傳資料至讀取器是採用散射技 術。
申論題 (0)
相關試卷
114年 - 11800 電腦軟體應用 丙級 工作項目 04:資訊安全 101-153(2025/12/15 更新)#134945
114年 · #134945
114年 - 11800 電腦軟體應用 丙級 工作項目 04:資訊安全 51-100(2025/12/15 更新)#134944
114年 · #134944
114年 - 11800 電腦軟體應用 丙級 工作項目 04:資訊安全 1-50(2025/12/15 更新)#134943
114年 · #134943
114年 - 11800 電腦軟體應用 丙級 工作項目 03:系統軟體使用 201-255(2025/12/15 更新)#134942
114年 · #134942
114年 - 11800 電腦軟體應用 丙級 工作項目 03:系統軟體使用 151-200(2025/12/15 更新)#134941
114年 · #134941
114年 - 11800 電腦軟體應用 丙級 工作項目 03:系統軟體使用 101-150(2025/12/15 更新)#134940
114年 · #134940
114年 - 11800 電腦軟體應用 丙級 工作項目 03:系統軟體使用 51-100(2025/12/15 更新)#134939
114年 · #134939
114年 - 11800 電腦軟體應用 丙級 工作項目 03:系統軟體使用 1-50(2025/12/15 更新)#134938
114年 · #134938
114年 - 11800 電腦軟體應用 丙級 工作項目 02:應用軟體使用 1-61(2025/12/15 更新)#134937
114年 · #134937
114年 - 11800 電腦軟體應用 丙級 工作項目 01:電腦概論 251-298(2025/12/15 更新)#134936
114年 · #134936