複選題
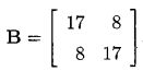
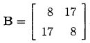
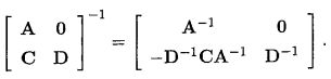
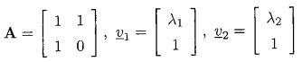
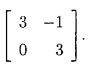
六、 The Householder matrix H =
is the orthogonal
projection matrix onto some nonzero vector
, is a reflection matrix. Which of the
following statements is/are true?(A) Consider the 2-dimensional space, ie. n = 2. For vectors u, d, p,q
shown in the
figure below, we have H d = p.
(B) H is a symmetric and orthogonal matrix.(C) Both linear systems A z = o and HAz = Ho are equivalent.(D) Let a =
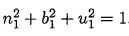
≠0. Then llull2 = -2 llαll u1
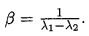
and Hα =
(E) None of the above are true.