阿摩線上測驗
登入
首頁
>
研究所、轉學考(插大)◆工程數學
> 110年 - 110台灣聯合大學系統_碩士班招生考試_電機類:工程數學(B)#104927
110年 - 110台灣聯合大學系統_碩士班招生考試_電機類:工程數學(B)#104927
科目:
研究所、轉學考(插大)◆工程數學 |
年份:
110年 |
選擇題數:
2 |
申論題數:
71
試卷資訊
所屬科目:
研究所、轉學考(插大)◆工程數學
選擇題 (2)
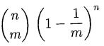
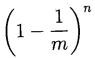
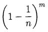
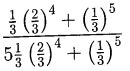
Problem 4. Which of the following statement is NOT true? (A)
(B)
(C)
(D)
Problem 5. We toss two fair coins simultaneously and independently. If the outcomes of the two coins are the same, we win; otherwise we lose. Let A be the event that the first coin comes up heads, B be the event that the second coin comes up heads, and C be the event that we win. Which of the following statements is false? (A) Events A and B are independent. (B) Events A and C are not independent. (C) Events A and B are not conditionally independent given C. (D) The probability of winning is 1/2.
申論題 (71)
There are a total 22 problems. The first 3 problems are CALCULATION problems, and
the rest of 19 problems are MULTIPLE choices. All of the MUTIPLE choices problems
have only SINGLE correct answer. Please CLEARLY write your answers with associated
problem numbers on the answer sheet. There will be NO partial credit given to the MUL-
TIPLE CHOICE problems, anything that is not on the answer sheet will NOT be counted.
Problem 1. Given a matrix
where a is a real number. Find the rank of A| and give the corresponding range of a.
(i) (10 %) Find the Eigenvalues and Eigenvectors for
(ii) (5 %) Show that there exists a matrix
, which is similar to the matrix
in the Jordon form, i.e.,
(1) Find the range space (i.e., column space) of A, denoted as R(A), and the row space of A (i.e., R(
)) where
denotes the transpose of A;
(2) find the projection matrix
such that
, and
;
(3) find the eignevalues and eigenvectors of
.
(1) Is Tr(AX) ≥ 0 true?
(2) Is it true that if Tr(AX) = 0, then AX = 0
(zero matrix)? Prove or disprove your answer.
(i) always
(ii) sometimes
(iii) never independent.
(i) X and Y can be independent or dependent depending upon the strictly positive values
(ii) X and Y are always independent
(iii) X and Y can never be independent
(i)
(ii)
(iii)
(iv)
(i)
(ii)
(iii)
(iv)
(i)
(ii)
(iii)
(iv)
(i) EY] =1
(ii) EY] =2
(iii) E(Y]=0
(i) E[X
1
|X=2]=0.1
(ii) E[X
1
I X= 2]=0.5
(ili) E[X
1
| X=2]=0.25
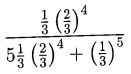
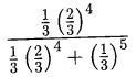
(i) 1/6
(ii) 1/3
(iii) 1/2
(iv) 1/4
(i) E[XY] = E[X]E[Y]
(ii) E(X
2
+ Y
2
] = E(X
2
] + E[Y
2
]
(iii)fxtr(x+y)=fx(x)fr(y)
(iv) var(X+Y)=var(X)+uar(Y)
(i) fz(4.5)=0
(ii) fz(4.5)=1/8
(iii) fz(4.5) = 1/4
(iv) fz(4.5) = 1/2
(i) 0
(ii) 9/4
(iii) 3/4
(iv) 1/4
(i) λ
(ii)
(iii)
(iv)1
(i) W is Poisson with parameter min(λ
1
, λ
2
)
(ii) W is Poisson with parameter λ
1
+ λ
2
(ii) W may not be Poisson but has mean equal to min(λ
1
, λ
2
)
(iv) W may not be Poisson but has mean equal to λ
1
+ λ
2
(i) P(X =0) =P(X = 50)
(ii) P(X = 51) >0
(iii)
(iv) P(X = 50) = 0.6
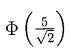
(i)1-Φ(5)
(ii) Φ(5)
(ii)
(iv)
(i)
(ii)
(iii)
(iv)
(i) On average, you will lose money to your smart friend
(ii) On average, you will lose neither lose nor win. That is, your average gain/loss is 0.
(iii) On average, you will make money from your friend
相關試卷
110年 - 110 國立中央大學_碩士班招生考試_機械工程學系、機械工程學系(光機電工程)、能源工程研究所_(共同):工程數學#125285
110年 · #125285
110年 - 110 國立臺灣大學_碩士班招生考試_部分系所:工程數學(A)#125255
110年 · #125255
110年 - 110 台灣聯合大學系統_碩士班招生考試_電機科:工程數學(C)#125211
110年 · #125211
110年 - 110 台灣聯合大學_碩士班招生_電機類:工程數學C#124898
110年 · #124898
110年 - 台聯大_工程數學B#113346
110年 · #113346
110年 - 110 國立臺灣科技大學_碩士班招生試題_材料科學與工程系(乙組):工程數學#113288
110年 · #113288
110年 - 110 國立台北科技大學碩士班招生考試_自動化科技研究所:工程數學#111318
110年 · #111318
110年 - 110 國立臺灣大學_碩士班招生考試_部分系所:工程數學(D)(含線性代數、機率與統計)#111303
110年 · #111303
110年 - 110 台灣聯合大學系統碩士班招生考試_電機類:工程數學A#110408
110年 · #110408
110年 - 110 國立臺北科技大學_碩士班招生考試_機械工程系機電整合碩士班:工程數學#107430
110年 · #107430