複選題
20. Which of the following statements concerning titration are INCORRECT?
(A) The pH at the midpoint, the point halfway on the titration curve to the equivalence point, is equal
to the pKa of the weak acid.
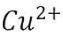
(B) The pKa values of a diprotic acid H2A are
= 8.00. At pH 9.00, the major
species are
(C) The equivalent volume for titrating 50.00 mL of a solution (0.05 M in iodide ions and 0.08 M in
chloride ions) with 0.1 M silver nitrate is 60 mL.
(D) In EDTA titration, ammonia often is required to prevent the precipitation of metal ions.