所屬科目:研究所、轉學考(插大)-經濟學
9. The formula Y / provides a calculation of (A) x-efficiency. (B) dynamic efficiency. (C)economywide monopoly power. (D) the Solow residual.
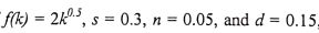
Q5. In the Solow model, if = 0.15, what is the value of k at equilibrium?__ (38)__