所屬科目:中山◆電機◆資料結構
1.【此題15分】我們用陣列實作heap。圖一是heap陣列裡頭的內容,每個元素皆為正整 數,並且我們設定「正整數值愈小,priority愈高」。現在,我們想將heap裡頭prority最高的元素刪除;請問刪除之後,heap陣列裡頭的內容為何?畫出heap陣列裡頭每個index的內容。 圖一:
3.【此題20分】圖二為doublylinkedlis資料結構,其中每個 Node 結構包含三個欄位 「prev、key、next」更具地說,下為de的宣告:
4.【此題20分】在圖三所示的tree裡頭,每個node裡頭的英文字母為node的key值,我 們假設root的key值為a。當我們分別按breadth-first search(BFS)preorderinorder、 postorder 次序拜訪圖三的tree時nodes被拜訪的次序為何? 圖三:
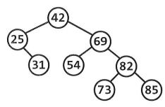
5.【此題15分】圖四為一個AVLtee,每個node儲存一筆料,node裡頭的數字,代表資料 的key值;root的key值為42。畫出「删除key值為42的資料」之後的AVL tree。 圖四: