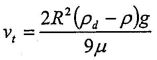
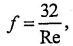
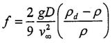
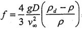
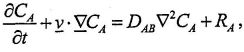
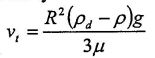
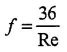
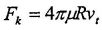
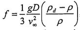
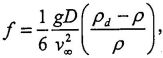
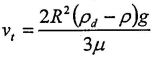
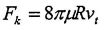
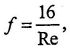
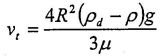
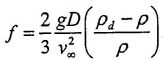
1. The outbreak of coronavirus disease 2019 (COVID-19) has caused a global pandemic and significant impact on society, economy, and human life. To combat the virus, wearing the mask and keep a safe social distance can help prevent the spread of COVID-19. However, it was still broadly debated regarding "what is the safe social distance". Some studies recommended that at least 2 m of physical distance should be kept from others, while others suggested that 2 m may not be adequate. To answer this question, it is vital to fully understand the mechanism of virus spreading. The respiratory infections occur usually through the transmission of virus-containing droplets and aerosols exhaled from infected individuals during breathing, speaking, coughing, and sneezing. Therefore, we can assume the spreading of the droplet is similar to a falling particle in the air. Please identify the kinetic force (F.) acting on the droplet. Assume u is the dynamic viscosity of airflow, R is the radius of the droplet, n is the falling (terminal) velocity. (A)
(B)
(C)
(D)
(E) 