所屬科目:研究所、轉學考(插大)◆普通熱力學
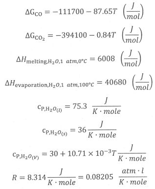
2. Please estimate the enthalpy of solidification for at I atm and - 10℃ (10%)
5. Please sketch the corresponding phase diagram and△G-X plot for each phase in the reaction at peritectic temperature. Please indicate clearly the curves for each phase, stable phases and their boundaries and regions. (20%)
6. Ifexcess carbon is present in a container that originally has 1:1 of CO and CO2 and no other gases, please explain the change of CO:CO2 ratio with increasing temperature. (15%)