所屬科目:研究所、轉學考(插大)◆材料科學與工程導論
(b) Determine the three-axis Miller index and four-axis Miller-Bravais index for the direction. (4%)
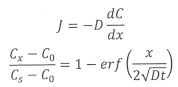
4. Consider the impurity diffusion of phosphorus into a silicon wafer. If phosphorus is diffused into a thick silicon waler with no previous phosphorus in it at a temperature of 1100℃. If the surface concentr tration of the phosphorus is 1 x atoms/cm3and its eoncentration at ce of 1.2 Jum below the surface is atoms/cm3, how long must be required for the impurity diffusion? The difiusion coeficient for phosphorus diffusing in silicon at 1 100*C is 3.0 x. (10%)
(b) Calculate the density in grams per cubic centimeter of CsBr, which has the CsC1 structure. (8%) Ionic radi are Cst = 0.165 nm and Br = 0.196 nm, atomic weights a ights are Cs = 132.9 g/mol and Br = 799 g/mol, Avogadro's number = atonvmol.