所屬科目:研究所、轉學考(插大)◆自動控制系統
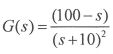
2.Consider the transfer function G with unity feedback. Please sketch the output response in time domain roughly (10%)
(d)Calculate Y(t) at 0, 1,∞ .(3%)
(b) Design an observer (estimator) that reconstructs both states of pendulum given measurements . Assume ω=5rad/s and pick the observer roots to be at s=-10±10j.(10%)
(c)Write the transfer function of the observer between the measured vale of and the estimated value of (10%)
(d) Design the state feedback controller K so that the roots lie in s=-4±4j.(10%)