所屬科目:研究所、轉學考(插大)◆自動控制系統
1. Given the system represented in state space as follows: Convert the system to one where the new state vector, z, is (10%)
2. For the system shown in Fig. Problem 2, a step torque is applied at θ1(t). Find the transfer function, G(s) = θ2(s)/T(s), and the peak time forθ2(t) (15%)
3. For the circuit shown in Fig. Problem 3, find the values of R2 and C to yield 8% overshoot with a settling time of I ms for the voltage across the capacitor, with vi(t) as a step input. (25%)
4. The block diagram of a control system with tachometer feedback is shown in Fig. Problem 4. Construct the root loci of the characteristic equation for K≥0 when Kt ≥0. (13%)
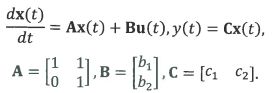
6. Determine the conditions on b1, b2, c1, and c2 so that the following system is completely controllable and observable. (12%)