4. (35 points) For cach of the following statements, determine whether it is true or false. No explanation is needed. You get +5 points for every correct answer and -6 points for every incorrect one, (O points if you do not answer.)
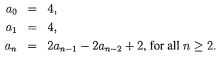
(a)
(b) In propositional logic, (^, -J is a functionally complete set.
(c) There exists a bijective function from 
(d) The union of infinitely many disjoint infinite sets must be uncountable.
(e) For any two distinct primes p, g, there exists two integers s,t such that ps + gt = 1.
(f) If relation Rt is antisymmetric, then
must be antisymmctric for any relation R.
(g) The set
is an equivalence relation on the set of all positive functions