複選題
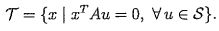
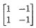
15. (10%) For n > 1, let Sn denote the set of all symmetric matrices and Tn denote the set of all skew-symmetric matrices, that is, Tn = {A | A is a n x n matrix such that AT = -A}. Let U be a n x n matrix such that UTU = In. Furthermore, let
Wu ={M I M is a n x n matrix such that UTMU is a diagonal matrix}.
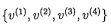
For a n xn matrix A, let Au denote the unique matrix B in Wu such that
is minimized. Choose the correct statement(s) from the following.
(A) Sn is a subspace of
and its dimension is n. (B) T. is a subspace of
and its dimension is n. (C) WU is a subspace of
and its dimension is n. (D)
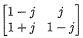
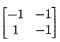
(E)