所屬科目:有機化學
2 下列那一個結構的酸性最強? (A) (B) (C) (D)
3 下列紅外線光譜最可能的化合物為何者? (A) 1-戊腈 (B) 1-戊醛 (C) 1-戊炔 (D) 1-戊烯 Transmittance (%) Wavenumber (cm-1)
4 下列化學結構的命名,何者正確? (A)(2R,3R)-3-氯-2-戊醇 (B)(2R,3R)-2-氯-3-戊醇 (C)(2S,3S)-3-氯-2-戊醇 (D)(2S,3R)-2-氯-3-戊醇
6 請問下列(+)-樟腦分子中的立體中心其正確立體化學為何? (A) 1R, 4R (B) 1R, 4S (C) 1S, 4S (D) 1S, 4R
7 下列反應的最終主要產物為何者? (A) 1-溴-3-硝基苯 (B)溴苯 (C) 1-溴-4-胺基苯 (D)硝基苯
8 下列反應式中何者無法合成出酯類為產物? (A) (B) (C) (D)
9 要完成下列的化學轉換需使用那一個反應序列? (A) (B) (C) (D)
10 下列反應的最終主要產物為何者? (A) (B) (C) (D)
11 下列反應的最終主要產物為何者? (A) (B) (C) (D)
12 甲苯進行溴化反應形成對溴甲苯的反應機制(mechanism)中,下列那一個結構不屬中間產物 的共振結構? (A) (B) (C) (D)
13 奎寧(quinine)及奎尼丁(quinidine)均為金雞納樹中萃取而得的天然物,其結構如下: (平 均原子量:C = 12, H = 1, N = 14, O = 16)
下列關於奎寧及奎尼丁的敘述何者正確?
①奎寧及奎尼丁均為臨床使用藥物的成分
②奎寧及奎尼丁互為鏡像異構物(enantiomer)
③奎寧及奎尼丁均具有掌性中心(chiral center)
④奎寧及奎尼丁的分子量為 323 (A)①③ (B)②③④ (C)①③④ (D)①②④
14 對於 1,2-二溴乙烷分子來說,下列何者構型(conformation)最為穩定? (A)I H H H H (B) II Br H H H H Br H Br (C) III H Br Br H Br H H Br (D) IV H Br H H H I II III IV
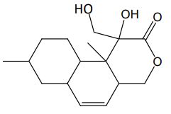
15 下列分子為 oblongolide 的分子結構,具有抗病毒之活性,請問理論上此分子結構應有多少個 立體異構物(stereoisomers)? (A)6 (B) 12 (C) 32 (D) 64
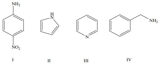
16 請問下列化合物在水溶液中的鹼性大小為何(由弱鹼至強鹼排列)?(A) IV < II < I < III (B) III < II(C) II < I < III < IV (D) II < III < I < IV
17 下列化合物何者具有芳香族特性(aromaticity)? (A) (B) (C) (D)
18 下列反應式中最終主要產物的結構為何者? (A) (B) (C) (D)
19 下列化合物中何者在紅外線光譜中 的位置會有很強且很寬的吸收訊號? (A) 1-丁醇(1-butanol) (B)己烷(hexane) (C)乙醚(diethyl ether) (D)苯(benzene)
20 所有脂肪酸中 Ω- 6 及 Ω- 3 類脂肪酸最為常見,請問下列結構中何者屬於 Ω- 3 類脂肪酸? (A) (B) (C) (D)
21 下列高分子化合物可由那種單體(monomer)合成而來? (A) (B) (C) (D)
22 何者為甲苯(toluene)與過錳酸鉀(KMnO4)反應後的主要產物? (A) (B) (C) (D)
23 下列反應式中最終主要產物的結構為何者? (A) (B) (C) (D)
24 下列反應式中主要產物的結構為何者? (A) (B) (C) (D)
25 下列反應式中主要產物的結構為何者? (A) (B) (C) (D)
一、預測下列有機反應之主要產物結構,並畫出其反應機構且說明 機構中的立體選擇性。
二、依下列反應起始物和最終產物,設計數個步驟的反應,並列出反應所需的反應試劑及反應中間體。
三、預測下列有機反應之主要產物結構,並畫出其反應機構且說明機構中之反應位向的選擇。
四、從下列的紅外線光譜中,選擇一個可能的結構,並依紅外線光譜說明所指示的主要官能基並解釋選擇的原因。
五、人體每日會自行合成約一克的膽固醇,占每日所需的 75%。這個步驟 需要超過 30 個酵素的幫忙才能完成。另外 25%的膽固醇則需由食物中攝取,請問人類為何需要製備膽固醇?