所屬科目:技師◆給水及污水工程
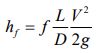
二、有一流量為 1.5 立方公尺/秒的水流被分配導入到 3 個平行的管線,此 3 管線的直徑與長度分別是(一) 25 公分與 50 公尺、(二) 35 公分與 30 公尺、 (三) 50 公分與 40 公尺。假設管線的磨擦係數是 0.015,試計算分別流入 此 3 管線的流量及水頭損失為多少?(20 分) 相關計算公式:單位:V 為公尺/秒(m/s);f 為磨擦係數;hf、D、L 皆為公尺(m)
三、有一 RO 系統處理含有 20 mg/L 硫酸根離子及 0.05 mg/L 鋇離子的放流 水後回收再利用,產水回收率為 85%,且此 RO 系統對鋇離子及硫酸根 離子的去除率為 90%。試計算此 RO 系統的濃排中鋇離子及硫酸根離子 的濃度,並說明此濃排是否會造成在 RO 膜上產生硫酸鋇沉積物的現象。 硫酸鋇的溶解度積。 (20 分)
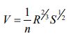
四、有一寬度 0.5 公尺,表面平滑之水泥材質排水明渠道,其曼寧公式 (Manning equation)粗糙係數為 0.0167。假設流經此渠道的排水流量為 300 立方公尺/小時,且流速維持在 1.5 公尺/秒,試計算此排水渠道的坡 度為多少?(20 分)相關計算公式:單位:V 為 m/s;n 為磨擦係數;R 為 m