所屬科目:有機化學
1 何者是此化合物正確的 IUPAC 名稱:
(A)(R)-3-methylbut-1-en-4-ol (B)(S)-3-methylbut-1-en-4-ol (C)(R)-2-methylbut-3-en-1-ol (D)(S)-2-methylbut-3-en-1-ol
3 下列分子中那個是內消旋化合物(meso compound) (A) (B) (C) (D)
7 下列化合物何者不具芳香性(Aromatic): (A) (B) (C) (D)
8 下列胺基酸中,何者屬於鹼性胺基酸(basic amino acid): (A) (B) (C) (D)
13 預測下列反應,主要產物的結構為: (A) (B) (C) (D)
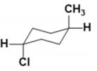
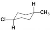
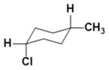
16 請問下列那個化合物具最穩定之構型: (A) (B) (C) (D)
18 下列狄爾士-阿德(Diels-Alder reaction)反應的主要產物為何: (A) (B) (C) (D)
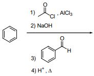
19 下列反應的主要產物為何: (A) (B) (C) (D)
20 請選出下列反應的主要產物: (A) (B) (C) (D)
21 請選出下列反應的主要產物: (A) (B) (C) (D)
22 請問下列化合物在正常寬帶解耦的 C-13 核磁共振光譜中會有幾組訊號產生:
23 請選出最適合將一級醇氧化成醛的氧化反應條件: (A) (B) (C) (D)
24 請問下列何種胺化合物與環己酮反應後可得到烯胺(enamine): (A) (B) (C) (D)
25 請問羧酸無法由下列那個反應方法製備生成: (A) (B) (C) (D)
一、請以 cycloheptene 為起始物,設計數個步驟的反應,合成下列最終的產物。請列出反應所需的反應試劑及反應中間體。
四、請以 Ser 及 Phe 胺基酸為起始物,設計數個步驟的反應,合成 Ser-Phe二胜肽(dipeptide)。請列出反應所需的反應試劑及反應中間體。
五、某化合物的分子式為 , 其紅外光譜、 氫 -1 核磁共振光譜( 1H NMR spectrum) 、質 子去耦合( proton-decoupled)碳 -13 核磁共振光譜( 13 C NMR spectrum) 如下 , 請根據這些光譜推 測此化合物之結構 。