阿摩線上測驗
登入
首頁
>
技檢◆電腦軟體應用-丙級
> 110年 - 110-1 全國技術士技能檢定學科_丙級:11800電腦軟體應用#97554
110年 - 110-1 全國技術士技能檢定學科_丙級:11800電腦軟體應用#97554
科目:
技檢◆電腦軟體應用-丙級 |
年份:
110年 |
選擇題數:
80 |
申論題數:
0
試卷資訊
所屬科目:
技檢◆電腦軟體應用-丙級
選擇題 (80)
1. 在 Windows 8 下,下列何者為預設的字型?(A)TrueType 字型(B)點陣字型(C)向量字型(D)ClearType 字型。
2. 下列何者不是電腦感染病毒的現象?(A)無法開機(B)電源突然中斷(C)檔案長度無故改變(D)鍵盤無法輸 入。
3. 小吳是公司的專用司機,為了能夠隨時用車,經過公司同意,每晚都將公司的車開回家,然而,他 發現反正每天上班路線,都要經過女兒學校,就順便載女兒上學,請問可以嗎?(A)不可以,這是公 司的車不能私用(B)可以,反正順路(C)可以,只要不被公司發現即可(D)可以,要資源須有效使用。
4. CPU 存取下列何種記憶體的速度最快?(A)輔助記憶體(Aux iliary Memory)(B)快取記憶體(Cache Mem ory)(C)暫存器(Register)(D)主記憶體(RA M)。
5. 依勞動基準法規定,下列何者屬不定期契約?(A)有繼續性的工作(B)臨時性或短期性的工作(C)季節性 的工作(D)特定性的工作。
6. 若利用 5bit 來表示整數型態資料,且最左位元 0 代表正數、1 代表負數,負數與正數間互為 1 的補 數,則可表示之範圍為(A)15~-16(B)16~-16(C)15~-15(D)16 ~-15。
7. PDA、數位相機、隨身碟等消費性電子設備,大多是使用何種儲存媒體?(A)RA M(B)PROM(C)ROM(D) flash memory。
8. 下列何種技術是利用硬碟空間來解決主記憶體空間之不足?(A)虛擬記憶體 (Virtual Memory)(B)多工 技術 (Multitasking)(C)分時技術 (Time Sharing)(D)同步記憶體 (Concurrent Memory)。
9. 下列哪一種是公告應回收廢棄物中的容器類:A.廢鋁箔包 B.廢紙容器 C.寶特瓶?(A)A BC(B)C(C)BC(D) AC。
10. 下列有關「雲端運算」技術概念的敘述,何者是正確的?(A)兩台電腦以藍芽互相傳送機密性資料(B) 在電腦上進行雲狀式的數學運算(C)空軍在雲層中利用電腦進行運算(D)透過網路連線取得遠端主機提供的服務。
11. 在 OSI(Open System Interconnection)通信協定中,電子郵件的服務屬於下列哪一層?(A)交談層(Se ss ion Layer)(B)應用層(Application Layer)(C)表示層(Presentation Layer)(D)傳送層(Transport Layer)。
12. 下列何者為可正確且及時將資料庫複製於異地之資料庫復原方法?(A)遠端複本(Remo te Mirroring)(B) 異動紀錄(Transaction Logging)(C)電子防護(Electronic Vaulting)(D)遠端日誌(Remote Journaling)。
13. 下列何者燈泡發光效率最高?(A)鹵素燈泡(B)白熾燈泡(C)LED 燈泡(D)省電燈泡。
14. Mac OS 中的 iWork 不包含以下哪些應用軟體?(A)Keynote(B)Pages(C)Numbers (D)Wo rds。
15. 下列何者不是入侵偵測與防禦系統(ID PS)的安全事件偵測方法?(A)分析異常的網路活動(B)比對惡意 攻擊的特徵(C)偵測異常的通訊協定狀態(D)確認使用者的權限。
16. 下列何者不是使用即時通訊軟體應有的正確態度?(A)不輕易開啟接收的檔案(B)不任意安裝來路不明 的程式(C)不輕信陌生網友的話(D)對不認識的網友開啟視訊功能以示友好。
17. 「將資料定期備份」是屬於下列何種資訊安全之特性?(A)可用性(B)完整性(C)不可否認性(D)機密性。
18. 下列何者不是造成臺灣水資源減少的主要因素?(A)雨水酸化(B)濫用水資源(C)超抽地下水(D)水庫淤 積。
19. 在 Windows 8 的「檔案總管」中,選取 C 磁碟中的一個資料夾,然後拖曳至 D 磁碟中,是執行下列哪一個動作?(A)刪除(B)搬移(C)複製(D)剪下。
20. 設 A 為 bit,B 為 Record,C 為 Field,D 為 Charac ter,通常在電腦內所佔空間的大小,由小到大之 順序為(A)ACDB(B)ABCD(C)ACBD (D)ADCB。
21. 有關「CPU 及記憶體處理」之說明,下列何者「不正確」?(A)控制單元負責指揮協調各單元運作(B) ALU 負責算術運算及邏輯運算(C)記憶單元儲存程式指令及資料(D)I/O 負責算術運算及邏輯運算。
22. 在 Windows 7 的「檔案總管」中,如果在刪除一個檔案時,不想讓檔案移至資源回收筒,則應使用 以下哪一個按鍵?(A)Delete(B)Sh ift+Dele te(C)Ctrl+Dele te(D)A lt+De lete 。
23. 塑膠為海洋生態的殺手,所以環保署推動「無塑海洋」政策,下列何項不是減少塑膠危害海洋生態 的重要措施?(A)擴大禁止免費供應塑膠袋(B)禁止製造、進口及販售含塑膠柔珠的清潔用品(C)淨灘、 淨海(D)定期進行海水水質監測。
24. 在 Windows 7 的「系統工具」下,不具備下列何種功能?(A)系統資訊(B)公用程式管理員(C)磁碟重組 工具(D)磁碟清理。
25. 若某顯示卡最高支援 1024×768 全彩顯示,則該顯示卡至少需要多少容量的 V ideo RAM?(A)4MB(B)1 6MB(C)2MB(D)8MB。
26. 下列何者為 Linux 系統所採用的檔案系統?(A)N TFS(B)XFS(C)vm s(D)H TFS。
27. 在噪音防治之對策中,從下列哪一方面著手最為有效?(A)偵測儀器(B)傳播途徑(C)噪音源(D)個人防護 具。
28. 有關於「弱點」的描述,下列何者錯誤?(A)弱點存在與暴露可能導致有心人士利用作為入侵途徑(B) 管理員若未能即時取得弱點資訊與修正檔將導致被入侵的可能性增加(C)弱點可能導致程式運作出現 非預期結果而造成程式效能上的損失或進一步的權益損害(D)弱點是一種使用者操作上的錯誤或瑕 疵。
29. 勞工為節省時間,在未斷電情況下清理機臺,易發生危害為何?(A)缺氧(B)捲夾感電(C)崩塌(D)墜落。
30. 在 Windows 7 系統中,具有系統管理員的身分,其屬於何種使用者帳戶?(A)標準(B)來賓(C)Replicato r(D)系統管理員。
31. 有關物聯網之應用層的敘述,下列何者正確?(A)可提供智慧生活的應用(B)負責將感測的資訊傳到雲 端(C)可用於感測溫溼度(D)提供物與物之間的訊號傳輸。
32. 繪圖機是屬於何種裝置?(A)輸出裝置(B)記憶裝置(C)處理裝置(D)輸入裝置。
33. 下列何者為計算機的心臟,且由控制單元與算術邏輯單元所組成?(A)Regis ter(B)CPU(C)A LU(D)CU。
34. 下列敘述何者不正確?(A)BIG-5 碼是中文的外碼(B)A SCII 碼為常用的文數字資料的編碼(C)通用漢字 標準交換碼為目前我國之國家標準交換碼(D)BCD 碼使用一組 4 位元表示一個十進位制的數字。
35. 在 Windows 7 中,在中文輸入法中,要切換不同的輸入法,預設值為按下列哪一個按鍵?(A)Ctrl+S pace(B)Ctrl+Shift(C)Shift+Space (D)Ctrl+A lt。
36. 筱珮要離職了,公司主管交代,她要做業務上的交接,她該怎麼辦?(A)盡量交接,如果離職日一 到,就不關他的事(B)把以前的業務資料都刪除或設密碼,讓別人都打不開(C)應該將承辦業務整理歸 檔清楚,並且留下聯絡的方式,未來有問題可以詢問她(D)不用理它,反正都要離開公司了。
37. QR code 有提供「回」字定位點,所以可以任何角度掃描。請問一個正常 Q R Code 應該提供幾個定位點?(A)2(B)3(C)4(D)5。
38. 下列 C/C++程式片段,何者敘述正確?
(A)While ( sum <=1000 )之後應該要有分號(B)小括號應該改 成大括號(C)While 應該改成 while(D)sum = sum +30; 必須使用大括號括起來。
39. 下列何者「違反」個人資料保護法?(A)公司基於人事管理之特定目的,張貼榮譽榜揭示績優員工姓 名(B)縣市政府提供村里長轄區內符合資格之老人名冊供發放敬老金(C)學校將應屆畢業生之住家地址 提供補習班招生使用(D)網路購物公司為辦理退貨,將客戶之住家地址提供予宅配公司。
40. 政府為推廣節能設備而補助民眾汰換老舊設備,下列何者的節電效益最佳?(A)因為經費有限,選擇 便宜的產品比較重要(B)將桌上檯燈光源由螢光燈換為 LED 燈(C)優先淘汰 10 年以上的老舊冷氣機為 能源效率標示分級中之一級冷氣機(D)汰換電風扇,改裝設能源效率標示分級為一級的冷氣機。
41. 鍵盤是屬於(A)輸入設備(B)輸出設備(C)輸出媒體(D)輸入媒體。
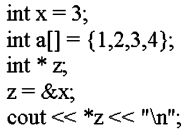
42. 下列 C/C++程式片段,輸出結果何者正確?
(A)1(B)3(C)4 (D)2。
43. 在 Windows 7 中,要依裝置類型來檢視電腦中的硬體裝置,應該在哪一個項目查看?(A)遠端設定(B) 效能(C)系統保護(D)裝置管理員。
44. 下列何者不屬於電腦硬體組成的設備?(A)輸出設備(B)輔助儲存設備(C)安全設備(D)處理設備。
45. 中央處理單元(CPU)內部的 ALU 功能為何?(A)執行中斷程式(B)執行加法、減法及邏輯運算(C)執行資 料傳輸(D)執行控制作業。
46. 下列何者不是合法的 IP 位址?(A)192.83.166.5(B)140.92.1.50(C)120.80.40.20(D)258.128.33.24。
47. 有關「CPU」的描述,下列何者有誤?(A)個人電腦的 CPU 一定是 16 位元(B)一部電腦中可以有二個 以上的 CPU(C)一部電腦的執行速度主要是由 CPU 的處理速度決定(D)CPU 中具有儲存資料能力的是 暫存器。
48. 下列何種副檔名的檔案對電腦來說是多餘的,刪除也不影響其原本運作?(A).ba t(B). tmp(C). ini(D).ex e。
49. 在 Windows 7 預設中,如果對硬碟進行格式化,則該硬碟可使用的檔案格式為下列何者?(A)DO S(B) ext3(C)NTFS(D)EFS。
50. 在 Windows 7 中,檔案命名不可使用下列哪個字元?(A)~(B). (C)-(D)<。
51. 下列何者為專有名詞「WWW」之中文名稱?(A)全球資訊網(B)區域網路(C)社群網路(D)網際網路。
52. 每張 Ethernet 網路卡都編有一個獨一無二的位址,這個位址稱為「MAC(Med ia Access Control)位 址」,MAC 位址是以(A)8Bytes(B)4 Bytes (C)6Bytes (D)7Bytes 表示。
53. 在 Microsoft Word 2010 中,製作「目錄」時,下列何者可作為「項目資料來源」?(A)書籤(B)標號 (C)項目標記(D)樣式。
54. 在量販店內,商品包裝上所貼的「條碼(Barcode)」係協助結帳及庫存盤點之用,則該條碼在此方面 之資料處理作業上係屬於下列何者?(A)輸入媒體(B)輸入設備(C)輸出媒體(D)輸出設備。
55. 智慧型手機使用下列何種感測器偵測方向及速度?(A)紅外線(B)無線射頻(C)超音波(D)三軸加速計。
56. 在 Windows 7 系統中,「資源回收筒」最大容量為何?(A)依磁碟容量等級固定大小(B)10MB(C)依磁 碟容量固定百分比(D)依磁碟容量可自訂大小。
57. 在 Windows 8 中,下列哪一個操作,可以顯示快顯功能表?(A)按一下滑鼠左鍵並拖曳(B)按一下滑鼠 左鍵(C)按二下滑鼠左鍵(D)按一下滑鼠右鍵。
58. 下列何者是網路安全之原則?(A)用你名字或帳號當作密碼(B)寫下你的密碼(C)密碼中最好包含字母及 非字母字元(D)用你個人的資料當作密碼。
59. 下列何種熱水器所需能源費用最少?(A)電熱水器(B)柴油鍋爐熱水器(C)天然瓦斯熱水器(D)熱泵熱水 器。
60. 在資訊安全的種類中,有關媒體出入管制項目,是屬於下列何者的重要項目之一?(A)程式安全(B)資 料安全(C)系統安全(D)實體安全。
61. 駭客發現軟體的安全漏洞後,趁廠商尚未進行修補時,立刻進行攻擊,這種手法稱為?(A)零時差攻 擊(B)DoS 攻擊(C)BotNet 攻擊(D)木馬攻擊。
62. 「十六進位數 1A1B」等於「八進位數」的(A)977(B)6684(C)1123(D)15033。
63. 在 Windows 7 中,若要將自己的照片設定成桌面的圖案,應在「個人化」視窗按哪一個選項?(A)螢 幕保護裝置(B)視窗色彩(C)桌面背景(D)音效。
64. 在 Windows 7 中,下列何種儲存媒體之檔案被刪除後可以在「資源回收筒」中被「還原」?(A)C 磁 碟機(B)雲端硬碟(C)卸除式磁碟機(D)網路磁碟機。
65. 下列何者不是常見的「Web 安全協定」之一?(A)電子佈告欄(BBS)傳輸協定(B)安全電子交易(SET)協 定(C)私人通訊技術(PCT)協定(D)安全超文字傳輸協定(S-HTTP)。
66. 下列何者不是通用串列匯流排(U SB)的特色?(A)高傳輸速率(B)僅能使用於儲存裝置(C)支援隨插即用 (Plug and Play)功能(D)支援熱插拔(Hot Swapping)功能。
67. 下列何者是開放文檔格式(OpenDocument Format)所規範的簡報檔案副檔名?(A).odp(B).pptx(C).pp t(D). odt。
68. 有關數位簽章之敘述,下列何者「不正確」?(A)可提供認證(B)有利於電子商務之推動(C)可加速資料 傳輸(D)可提供資料傳輸的安全性。
69. 評量點矩陣印表機速度的單位是(A)BPS(Bit Per Second)(B)BPI(Byte Per Inch)(C)DPI(Dot Per Inch)(D)C PS(Character Per Second)。
70. 透過淋浴習慣的改變就可以節約用水,以下的何種方式正確?(A)淋浴沖澡流下的水,可以儲蓄洗菜 使用(B)淋浴時抹肥皂,無需將蓮蓬頭暫時關上(C)淋浴流下的水不可以刷洗浴室地板(D)等待熱水前流 出的冷水可以用水桶接起來再利用。
71. 貪污治罪條例所稱之「賄賂或不正利益」與公務員廉政倫理規範所稱之「餽贈財物」,其最大差異 在於下列何者之有無?(A)利害關係(B)補助關係(C)隸屬關係(D)對價關係。
72. 一般而言下列何者不屬對孕婦有危害之作業或場所?(A)暴露游離輻射(B)工作區域地面平坦、未濕滑 且無未固定之線路(C)經常搬抬物件上下階梯或梯架(D)經常變換高低位之工作姿勢。
73. 下列何者為環境保護的正確作為?(A)自己開車不共乘(B)多吃肉少蔬食(C)鐵馬步行(D)不隨手關燈。
74. 辦公室中有數部電腦,將這些電腦以網路線與集線器(Hub)連接,以網路實體線路拓樸的概念來看, 此種連接方式稱為?(A)環狀網路(B)匯流排網路(C)星狀網路(D)網狀網路。
75. 以下何種內碼可以涵蓋世界各種不同文字?(A)EBCD IC(B)UNICODE(C)A SCII(D)BIG-5。
76. 想要在啟動
的時候啟動某一程式,可以將欲啟動的程式放在下列何處?(A)啟動資料夾(B)
中(C)使用者設定檔(D)系統的啟動。
77. 下列何者不是「虛擬私人網路(V PN,V irtual Private Network)」採用的技術原理?(A)備援技術(B)加 解密技術(C)穿隧技術(D)使用者與設備身分鑑別技術。
78. 二進制數值「00001101」之「1 的補數」為何?(A)11110011(B)00001110(C)10001101(D)11110010
79. 下列何者是「揮發性」記憶體?(A)PRO M(B)flash memory(C)DRAM(D)EEPROM。
80. 下列敘述何者錯誤?(A)存放網頁應用程式的系統安裝最新系統修補程式後,便不會存有弱點(B)跨目 錄存取是因為程式撰寫不良(C) 是一種攻擊網站資料庫的手法(D)跨站指令碼不但影響伺 服主機,甚至會導致瀏覽者受害。
申論題 (0)
相關試卷
114年 - 11800 電腦軟體應用 丙級 工作項目 04:資訊安全 101-153(2025/12/15 更新)#134945
114年 · #134945
114年 - 11800 電腦軟體應用 丙級 工作項目 04:資訊安全 51-100(2025/12/15 更新)#134944
114年 · #134944
114年 - 11800 電腦軟體應用 丙級 工作項目 04:資訊安全 1-50(2025/12/15 更新)#134943
114年 · #134943
114年 - 11800 電腦軟體應用 丙級 工作項目 03:系統軟體使用 201-255(2025/12/15 更新)#134942
114年 · #134942
114年 - 11800 電腦軟體應用 丙級 工作項目 03:系統軟體使用 151-200(2025/12/15 更新)#134941
114年 · #134941
114年 - 11800 電腦軟體應用 丙級 工作項目 03:系統軟體使用 101-150(2025/12/15 更新)#134940
114年 · #134940
114年 - 11800 電腦軟體應用 丙級 工作項目 03:系統軟體使用 51-100(2025/12/15 更新)#134939
114年 · #134939
114年 - 11800 電腦軟體應用 丙級 工作項目 03:系統軟體使用 1-50(2025/12/15 更新)#134938
114年 · #134938
114年 - 11800 電腦軟體應用 丙級 工作項目 02:應用軟體使用 1-61(2025/12/15 更新)#134937
114年 · #134937
114年 - 11800 電腦軟體應用 丙級 工作項目 01:電腦概論 251-298(2025/12/15 更新)#134936
114年 · #134936