所屬科目:技檢◆下水道設施操作維護-管渠系統-乙級
14. 符號表示(A)燈用配電盤(B)電力配電盤(C)電力分電盤(D)燈用分電盤。
15. 符號表示(A)油脂截流器(B)污物盆(C)洗手盆(D)洗物盆。
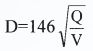
58. 抽水機吸水口徑通常以決定之,式中 D 之單位為 mm,Q 之單位為(A)ft3 /分(B)m3 /分(C)m3 /時(D)m3 /秒。
60. 建築給(排)水設備工程圖中表示(A)馬桶(B)浴缸(C)廚房用洗槽(D)洗面盆
64. 下列管線系統圖示何者正確? (A) (B) (C) (D)