所屬科目:教甄◆數學
2.彰化女中籃球校隊想招收隊員,某參加甄選的學生聲稱自身的投籃命中率 p ≥ 0.4 ,校方想透過檢定的方式來決定她的 聲稱是否採信。假設「此學生的投籃命中率 p ≥ 0.4 」且「投籃直到第一次進球共需 X 次」,在顯著水準為 0.05 的條件之 下,求隨機變數 X 的拒絕域為__________。( log2 0.3010 、log3 0.4771 )
3.設正整數 x y, 滿足 ,試求數對(x, y) = __________。(有兩組數對)
4. n是不超過1000的正整數,且為最簡分數,問n有多少個可能值? __________。
5.如圖所示,A、B兩人面對面,中間有十個間隔,行進時A只能向右1或2格,B只能向左1或2格。A、B兩人輪流行 動,A先動。若兩人停在同一格,這遊戲提前結束。問遊戲提前結束的方法有幾種? __________。
6.求 =__________。
8.設 n 為正整數,拋物線 與 x 軸交於 Pn 、Qn 兩點,與 y 軸交於 Rn ,設a n 為 △Pn Qn R n的面積, 試求=__________。
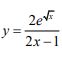
9.試求由、y=0、 x = 1 、 x = 4 所圍的區域,繞 x =2 旋轉的體積為__________。
10.空間中兩條歪斜線L1, L2,P,Q兩點在L1上,R, s兩點在L2上,滿足 = 5, ,求兩條歪斜線L1, L2之距離__________
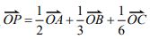
11.如圖,O為正方形ABCD之中心,P為內部一點,滿足 =__________。
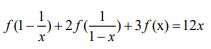
12.若函數y= f( x) 滿足,其中實數x ≠ 0,1,求f(2) =__________。
13.若一橢圓有兩焦點 F1 , F2,已知 F1 , F2到橢圓任一切線之距離乘積為定值,並求出此定值__________。
14.給定四次多項函數為 f(x)= x4-4 x3+ 10 ,求與 y= f(x) 恰有兩個相異切點的直線方程式(如下圖虛線所示) 為_________。
15.空間中有一個邊長為 6 的正四面體 OABC,平面 ABC 上一點 P 滿足 。若通過 P 點且相異於 平面 ABC 的另一個平面分別與射線交於 A'、 B'、C ' ,求此平面與 三射線圍出四面 體 OA’B’C’中體積的最小值為__________。
2. 已知平面上有 2022 個點落於單位閉圓盤內(圓心 O ),且存在著正實數滿足 。 (8 分)
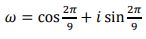
3. 已知,求|2 − ω| 2 + |2 −ω 2 | 2 + ⋯ + |2 − ω8 | 2。 (9 分)