所屬科目:學士後西醫◆資訊科學
1. (S%) Let be a linear system, whose representation in the coordinate plane is shown as follows: After one step of Gaussian elimination without pivoting, what the representation in the coordinate plane is?(A)(B)(C)(D)(E)
2. (5%) Let A, B, C, D be four n by n nonsingular matrices. What is the determinant of ?(A) det( A )det( B )det() (B) det( A )det( D )det(C) det( C )det(D - B) (D) det( C )-det(D -B) (E) none of the above
3. (5%) Let D be the differentiation operator on P3, the set of real polynomials whose degree is less than 3. Which statement is FALSE? (A) D is a linear transformation from P3 to P2 (B) The kernel of D is P1(C) The range of D is P2 (D) The transition matrix from basis [1, x, x2] to basis [1, 2x, 4x2 -2] is (E) The matrix representation of D with respect to the basis [1, 2x, 4x2- 2] is
5.Suppose Define How many of S1,S2,S3,S4,S5 are subspaces of R3? (A) 1 (B) 2 (C) 3 (E) 5 (D) 4
6. (5%) Let b1 = (1,0, -1,0,0), b2= (1,1,1,1,1),b3= (1,0,1,2,1) in R5 and w =span{b1,b2,b3}. Suppose c=(0,-6,-2,0,-2). Then what is the minimum value of ||c - u||for all possible choices of ? (A)(B) (C) (D) 2 (E) 3
7. (5%) Suppose A = What is the minimum value of ||Ax-b|| fox all? (A) (B) 7 (C) (D) (E)
8. (5%) Supposeare row equivalent a,b,c are3 nonzero numbers. What is a + b? (A)0 (B) 2 (C) 3 (D) 4 (E) 5
9.(5%) Find the largest singular value of the matrix .(A) 600 (B) 360 (C)(D) (E)
10.(5%) Fill in a complex number, c, such that the matrix below is unitarily diagonalizable: (A) 4 (B) -4 (C)4i (D)-4i (E) 0
11. (5%) Find the parabola y = a + b x + c x2that comes closest (least squares error) to the data points: (x, y) = (-2, 0), (-1, 0), (0, 1).(1, 2), and (2, 0). (A) (B)(C) (D) (E)
13. (5%) Which of the functions T: R3→ R2 is NOT a linear transformation? (A) T(x,y,z)=(2x,y+z) (B) T(x,y,z)=(2x-1,z) (C) T(x,y,z) =(0,0) (D) T(x, y, z) = (x cosθ - ysinθ, ycos θ + z cosθ ) (E)T(x,y,z) =
14. (5%) Let A, B be square matrices. Suppose the determinants of A2B3 and A3B2 are det(A2B3) = 1125 and det(A3B2) = -675, respectively. What are det(2A) and det? (A) (B) (C) (D)(E)
15. (5%) For square matrices A and B, we say that B is similar to A if there exists an invertible matrix P such that B = AP. Which of the following statements about similarity is NOT always correct? (A) If A and B are similar and A is singular, then B is singular (B) If A and B are similar and A is invertible, then B is invertible (C) If A and B are similar. then A and B have the same range (D) If A is invertible, then AB is similar to BA (E) If A and B are similar, then A and B may or may not have the same eigenvalues
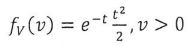
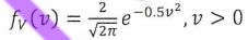
16.(5%) Suppose that X and Y are exponential random variables that are independent of each other. Both X and Y has mean equal to 1. Two random variables, U and V, are defined as U = X +Y and V = X/Y. For v ≥ 0, find fv(v), which is the marginal probability density function of V. (A)(B) (C) (D) (E)
17. (5%) Suppose that the joint cumulative distribution function of the lifetimes of two smart watches is given below. What is the probability that the lifetime of one smart watch is at least nine times longer than the lifetime of the other?(A) (B)(C)(D) (E)
18.(5%) Suppose that the random variables X1,X2,... are independent of each other. Each of these random variables is binomially distributed with parameters 12 (which is the number of Bernoulli trials) and 0.5 (which is the successful probability per Bernoulli trial), Suppose that Find the moment generating function of Z∞. (A) (B) (C)(D)(E)
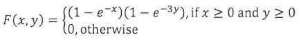
20. (5%) The moment generating function of X is given byand that of y by . if x and Y ang tadependen, what is P{XY = 0}? (A) (B) (C) (D) (E)
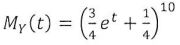
21. (5%) A smooth-surface table is ruled with equidistance parallel lines, a distance D apart. A needle of length L, where L≤ D, is randomly dropped onto the table with all rotational angles equally probable. What is the probability that the needle will intersect one of the lines? (A)(B) (C) (D) (E)
27. (5%) Suppose Xi independently follows a Poisson distribution with mean 3 for i=1~1000. What is the approximate distribution of the sample mean? (A) Exponential distribution (B) t-distribution (C) Gamma distribution (D) Normal distribution (E) x2 distribution
29. (5%) According to the following plots of three variables X1, X2, and Y from the data set, please select the correct statement.(A) X1 is a better linear predictor for predicting Y than X2 since the slope is larger in (a) than in (b) (B) X2 is a better linear predictor for predicting Y than XI since the correlation is stronger in (b) than in (a) (C) X1+X2 should be a better predictor than either X1 or X2 since they are positively correlated in (c) (D) If we build a regression model with X1 and X2 to predict Y, there must be a strong interaction between X1 and X2 since they are positively correlated in (c) (E) If we fit a multiple regression model with both XI and X2 to predict Y, the coefficients of XI and X2 would both be negative since both X1 and X2 are negatively correlated with Y
30. (5%) The following is a joint probability table between two categorical variables. the education level and the exercise frequency.Which of the following statements is correct? (A) If the table is from a large survey and can be treated as population data, we can say that the two variables are not independent (B) If the table is derived from sample data, we can test the independence of the two variables using X2 test. The alternative hypothesis for the test is the independence of the two variables (C) If the table is derived from s sample data, the degree of freedom of the null distribution of the X2 test is 9 (D) If the table is derived from sample data, the x? test statistic for testing the independence of the two variables is(E) TheX2 test assumes that the samples categorized into the same cell are correlated