所屬科目:水資源工程學
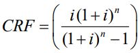
三、某水資源有4組開發方案資料如下表,如年利率5%、年運轉維護費用為初期建造費用8%、間接效益為直接效益10%及忽略其他成本與效益情況下,以年計成本與年計效益評估,採最大益本比法及採最大年淨效益法,其最佳選擇分別為那一方案。(25 分)【提示:還本因子 ,n 為年及 i 為年利率】