阿摩線上測驗
登入
首頁
>
水處理技術(工程)
> 111年 - 111 地方政府特種考試_三等_環境工程:水處理工程(包括相關法規)#112420
111年 - 111 地方政府特種考試_三等_環境工程:水處理工程(包括相關法規)#112420
科目:
水處理技術(工程) |
年份:
111年 |
選擇題數:
0 |
申論題數:
4
試卷資訊
所屬科目:
水處理技術(工程)
選擇題 (0)
申論題 (4)
一、請說明理想沉澱池的假設條件。(15 分)一水體含兩種顆粒,其終端速 度分別為 1.2 cm/s 及 0.98 cm/s,且其顆粒固體濃度分別為 250 mg/L 及 200 mg/L。若一理想沉澱池之表面負荷率為 40 m
3
/m
2
/hr。則此水體經理 想沉澱池後的出流水固體物濃度為何?(10 分)
二、請繪圖說明城市污水進入二級污水處理廠後所經過的操作單元,並說明其功能。(25 分)
三、請繪圖說明離心抽水機之特性曲線中,揚程(H)、效率(E)與功率(P) 對抽水量(Q)之關係,並表示出額定抽水量及額定揚程的位置。(25 分)
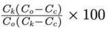
四、請利用質量平衡推導離心式污泥脫水機的固體回收率,如下式。
固體回收率=
分別為進流污泥、濃縮污泥及離心濾液中的污泥濃度。 (25 分)
相關試卷
114年 - 114 地方政府公務特種考試_四等_環境工程:水處理工程概要#134677
114年 · #134677
114年 - 114 公務升官等考試_薦任_環境工程:水處理工程(包括相關法規)#133159
114年 · #133159
114年 - 114 普通考試_環境工程:水處理工程概要#128321
114年 · #128321
113年 - 113 地方政府公務特種考試_四等_環境工程:水處理工程概要#124376
113年 · #124376
113年 - 113 普通考試_環境工程:水處理工程概要#121045
113年 · #121045
112年 - 112 地方政府特種考試_三等_環境工程:水處理工程(包括相關法規)#118185
112年 · #118185
112年 - 112 地方政府特種考試_四等_環境工程:水處理工程概要#117995
112年 · #117995
112年 - 112 公務升官等考試_薦任_環境工程:水處理工程(包括相關法規)#117157
112年 · #117157
112年 - 112 高等考試_三級_環境工程:水處理工程(包括相關法規)#115537
112年 · #115537
112年 - 112 普通考試_環境工程:水處理工程概要#115380
112年 · #115380