所屬科目:有機化學
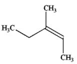
1 請問下列有機化合物的正確 IUPAC 命名為何? (A)( E )-3-甲基-3-戊烯 (B)( Z )-3-甲基-3-戊烯 (C)( E )-3-甲基-2-戊烯 (D)( Z )-3-甲基-2-戊烯
3 下列那一個化合物的酸性比較強? (A) (B) (C) (D)
7 那一個化合物有最大燃燒熱? (A) (B) (C) (D)
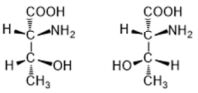
8 那一組異構物的關係屬於非鏡像異構物(diastereomers)? (A) (B) (C) (D)
9 就反應機制而言,威廉森醚合成法(Williamson ether synthesis)是: (A) E1 程序 (B) 程序 (C) E2 程序 (D) 程序
10 那一個化合物為下列反應的主產物? (A) (B) (C) (D)
11 那一個化合物為下列反應的主產物? (A) (B) (C) (D)
12 那一個可能為下列反應的中間物? (A) (B) (C) (D)
13 下列那一個反應的產物是一級醇的結構? (A) (B) (C) (D)
14 請選出用於進行下列轉化反應的最佳試劑(可以多次使用): (A) CrO3, H2SO4, H2O (B) 1. NaBH4, ethanol; 2. H3O+ (C) 1. LiHAl4, ether; 2. H3O+ (D) 1. PCC, CH2Cl2; 2. H3O+
15 請選出用以進行下列合成反應的最佳試劑: (A) 1. KMnO4; 2. LiAlH4 (B) 1. Mg, ether; 2. CO2; 3. LiAlH4 (C) 1. NaOH, H2O; 2. LiAlH4 (D) 1. SOCl2, benzene; 2. LiAlH4
17 下列那一個化合物與乙醯氯/氯化鋁(CH3COCl/AlCl3)進行反應最慢? (A) (B) (C) (D)
18 請問下列有機化合物的酸性從小至大的排列順序為何? (A) II, III, I, IV (B) I, III, II, IV (C) IV, I, III, II (D) IV, II, III, I
19 請問下列有機反應所得到的主要產物是什麼? (A) (B) (C) (D)
20 那一個化合物為下列反應的主產物? (A) (B) (C) (D)
23 那一個化合物的紅外線(IR)光譜會有一個強且稍寬特徵峰吸收在波數 1645? (A) (B) (C) (D)
24 毒扁豆鹼(physostigmine)可以用來治療青光眼,其結構中箭頭所指的原子那一個鹼性最強? (A)a (B)b (C)c (D)d
25 請問下列化學反應平衡中的環狀結構產物的正確名稱為何? (A) α-L-呋喃核糖(ribofuranose) (B) β-D-呋喃核糖(ribofuranose) (C) α-L-吡喃核糖(ribopyranose) (D) β-D-吡喃核糖(ribopyranose)
(一)
(二)
(三)
(四)
(五)
(六)
(七)
(八)
(九)
(十)