所屬科目:土壤力學與基礎工程(設計)
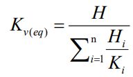
三、如下圖上、下水位面水頭差 600 mm,流經 A、B、C 三種土壤(斷面 , 50 mm × 50 mm,高度分別為 HA = 50 mm、HB = 100 mm、HC = 50 mm) 滲透係數分別為 cm/sec,若以下水位面處為基準,請問 a、b、c、d 四個位置的水頭高各是多少 mm?(15 分)並 計算 5 小時後的總流量 Q 是多少立方公尺?(10 分) 相關公式: 其中,H 為土層厚度;K 為土層滲透係數
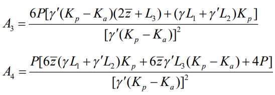
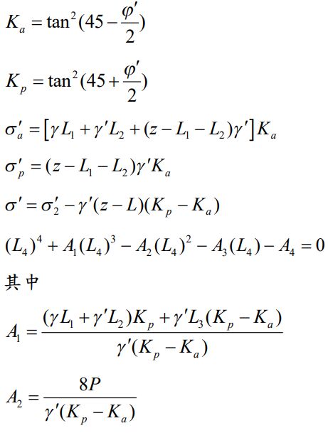
四、請計算下圖中鋼板樁貫入至砂土層時,在安全係數為 1 時的最小臨界深度 DL。(25 分) 相關公式: 其中,P 為之面積;L、 、 L3 及 L4 請參閱圖說