所屬科目:教甄◆化學專業/化工科
2. 於 25℃及 1atm 下,1mole 之理想氣體所佔據之體積為 24.5 升,試求出此狀況下, 氣體分子其平均間隔為多少公分? (A) 3.56 (B) (C)(D)
4. 汙水中含有 12 ppm 的有機廢料 ,則汙水中的 COD 為多少 ppm? (A) 3.76 (B) 8.65 (C) 14.2 (D) 21.9
7. 下列哪一種聚合物所製成的樹脂可直接填充於淨水系統的管柱中將硬水軟化? (A) (B) (C) (D)
9. 有關鈉、鎂、鋁三元素性質之描述,下列何者正確? (A) 金屬性:Al>Mg>Na (B) 離子半徑: (C) 水合能: (D) 金屬鍵強度:Al>Mg>Na
12. 定壓且定量的氣體在 0℃、100℃、101℃時之體積分別為,下列關係 式何項正確? (A)(B) (C) (D)
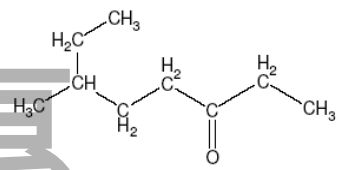
14. 化合物甲的結構式如右圖,下列哪一選項是化合物甲的正確中文系統命名?
(A) 6-甲基-3-辛酮 (B) 2-乙基-5 -庚酮 (C) 3-甲基-6 -辛酮 (D) 1,2-二甲基-5-庚醛
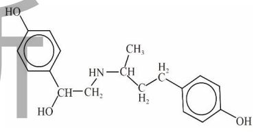
15. 有些養豬戶會在豬的飼料中添加禁藥「瘦肉精」,可以促進蛋白質合成,並增加豬肉 中的瘦肉。右圖為某種瘦肉精的結構式,下列相關敘述何者錯誤? (A) 此瘦肉精分子含有二級醇結構 (B) 可形成分子間氫鍵 (C) 此化合物的水溶液呈酸性 (D) 此化合物的水溶液加入多侖試劑, 不會產生銀鏡
17. 1 升的 0.30 M 醋酸溶液中(Ka=2.0×),需加入幾莫耳的 NaOH,可得到 pH=5 的緩衝溶液?(log2.0=0.301) (A) 0.15 (B) 0.20 (C) 0.30 (D) 0.40
18. 氫原子的游離能定義為電子從 n=1→n=∞所吸收的能量。若氫原子的游離能為 1312 kJ/mol,或 2.179✖ J/個。若以能量為 1.97✖J/個的電子去激發氫原子, 則可將氫原子電子由 n=1 激發至 n 為何的激發態? (A) 1 (B) 2 (C) 3 (D) 4
21. 於某含有 0.001M KIO3 及 0.001 M K2CrO4 之溶液內加入 Ag+,直至有一半 離 子已沉澱時,尚有多少% 留在溶液中?(Ag2CrO4 及 AgIO3 之 Ksp 分別為 ) (A) 5% (B) 10% (C) 15% (D) 20%
22. 將含有 的水溶液,分別自 Pt 電極通入相同強度的電流,使在電極 上析出相同重量的金屬。所需時間長短順序,何者正確?(原子量 Ag=108,A1=27, Fe=56) (A) (B) (C) (D)
24. 下列哪一個錯離子為反磁性? (A) (B)(C) (D)
25. 碳燃燒成二氧化碳可分為反應式(1)與(2)等二階段進行。同溫時反應(3)的 Q 值何者正 確? (A) 73 (B) 110 (C) 283 (D) 393
26. 下列何項反應必須用還原劑才能使其發生? (A) (B) (C) Hg2Cl2→HgCl2 (D) I2→HI
27. 在一煙霧實驗箱中,測得煙霧的主要成分為 RH、NO、NO2、O3、PAN,其中 RH 含 C、H,而 PAN 含 C、H、O、N,各種物質的 相對濃度隨時間的消長,記錄於右圖,根據圖 中數據,下列推論,何者最不合理?
(A) NO 消失的速率比 RH 快 (B) RH 及 NO2 生成 PAN 及 O3 (C) NO 生成 NO2 (D) O3 生成 PAN
30. 右圖中的化合物具有幾個化學立體中心?
(A) 1 (B) 2 (C) 3 (D) 4
33. 鎂帶在氮氣中燃燒的產物溶於水。 其反應式為:a Mg3N2 + b H2O → c NH3 + d Mg(OH)2 當 a、b、c、d 為最簡整數係數,則 a + b + c + d 等於多少? (A) 13 (B) 12 (C) 11 (D) 10 Cl OH CH3
37. 某元素 X 具有四種不同氧化態,其相互間的標準還原電位如下:
(1) O2+4 H++4 e -→2 H2O E°=+1.2 V(2) +e-→ E°=+0.6 V(3) ++e -→ E°=-0.1 V (4) +e -→X+ E°=-1.0V 若將 2 M 的加入同體積 2 M 的 H +溶液時,下列何者可能產生? (A) (B) (C) X+ (D) O2
41. 有關難溶性鹽在水中的,可以用下列哪個關係式表示? (A) [Hg+ ] 2 [Cl- ] 2 (B) (C) (D) 4[Cl- ]3
43. 王同學用藍色原子筆芯的油墨進行界面活性劑效應的實驗,先配製了甲、乙、丙三 個試樣,然後觀察溶液的顏色與油墨的分布情況,結果如下表所示。根據實驗觀察 的結果與推論,試問下列相關敘述,何者正確?
(A) 甲試樣中的油墨分布不均,表示油墨易溶於水 (B) 乙試樣中的十二烷基磺酸鈉是界面活性劑,故試樣乙會呈現均勻混合 (C) 丙試樣中的油墨形成全溶的藍色油墨溶液,表示油墨不溶於乙酸乙酯中 (D) 將丙試樣再加入 1 mL 純水,則溶液會分成上下兩層,藍色的油墨主要會在下層
44. 右圖中曲面上各點的座標代表一純物質的體積 V 、溫度 T 與壓力 P。甲、乙、丙均 為等溫線,其粗線部分與V軸平行,圖中虛線為此物質兩態共存區之邊界線。下列 有關此物質三態的敘述,何者正確? (A) 在甲溫度時,此物質之固態與液態可以共存 (B) 在甲溫度時,此物質之固態與氣態無法共存 (C) 在乙溫度時,此物質之液態與氣態無法共存 (D) 在高於丙溫度時,此物質無法三態共存
46. 55℃ 下,乙醇蒸氣壓為 168 mmHg,甲基環己烷為 280 mmHg,當乙醇之莫耳分率 為 0.68 時,二者所生成之溶液,其總蒸氣壓為 376mmHg,則下列敘述哪些正確? (多選) (A) 乙醇之間因有氫鍵,故蒸氣壓較低 (B) 該溶液並非理想溶液 (C) 該二成分混合時為放熱反應 (D) 該二成分混合時,△H 之符號為負