所屬科目:教甄◆資訊科技概論專業(電腦科)
1. 將 轉為16位元之2的補數,若以十六進位來表示時,其值為何? (A) (B)(C)(D)
7. 下列VISUAL BASIC程式執行完後,針對所得結果的敘述,何者正確?
(A)都是奇數,且是介於0至12之間 (B)都是偶數,且是介於0至12之間 (C)只有0與4兩種數值 (D)數值是介於0至3間的所有整數
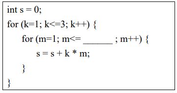
15. 若要以C程式片段計算出 (1*1+1*2+1*3) + (2*1 + 2*2) + (3*1) 的值,則空格中要填入 什麼內容?
(A) 3 (B) k (C) k-1 (D) 4-k
17. 創用CC沒有以下哪一項? (A) (B) (C) (D)
5. 執行下列程式片段後,請問A(2,3)=_____
6. PYTNON 程式碼的輸出結果為何?_____
7. 下列PYTHON 程式碼執行後,會輸出何值? _______________
8. 給定右側C語言函式,若 loop(n)的回傳值應為297,則 n應該為何?
9. 給定關聯式資料庫中的表格(Table)如下,請以SQL語法由高至低列舉台北所有分店 的所有欄位,請依的最高銷售額(TOP_SALES)由高至低排序。
10. Quad-tree應用很多,應用之一是用以表示一個黑白兩色的圖。以圖一為例,8x8 的 圖涵蓋黑白兩色,因此用○表示。接下來將該圖分割成4個4x4區塊如圖二所示。其 中區塊1 全為黑色點,因此就以■表示,且不再切割;而區塊3 全為白色點,因此 就以□表示,且不再切割;區塊2, 4涵蓋黑白兩色,因此用○表示並繼續進行四分割。 圖三、四顯示後續分割後的Quad-tree 表示法給定以下的某8x8圖的Quad-tree表示法,請還原原始的圖。