所屬科目:計算機概論及資訊管理(含資通安全)
26.專案管理之網路圖的前推計算不能求出下列何者?(A)活動最早開始時間 (B)活動最晚開始時間 (C)活動最早結束時間 (D)活動最晚結束時間
27.專案管理中若活動 A 有 3 個前置活動,準時完成機率各為 50%,請問活動 A 準時開始的機率為何?(A) 12.5% (B) 25% (C) 30% (D) 50%
28.專案管理中利用蒙地卡羅分析來推估專案工時,需要找出影響專案工時的因素,這是因此方法具有何項特質? (A)悲觀工時 (B)最可能工時 (C)歷史資料 (D)統計分配
29.專案管理中最佳的專案排程是在何種狀況下求得?(A)極大化資源需求的平方和 (B)極小化資源需求的平方和(C)極大化資源供應的平方和 (D)極小化資源供應的平方和
30.專案管理中專案進度經過核准後成為專案基準(schedule baseline),一般來說核准專案進度的人為下列何者? (A)專案經理 (B)專案副理 (C)專案關係人 (D)專案發起人
31.專案管理中資源分解結構主要是表達下列何者?(A)資源需求的時間 (B)資源需求的活動 (C)資源需求的種類 (D)資源需求的部門
32.管理資訊系統是由哪三大因素所構成?(A)硬體、軟體、財源 (B)人員、財源、管理 (C)硬體、軟體、管理 (D)硬體、軟體、人員
33.下列何種系統可以達到減少收銀台錯誤,並進行銷售管理、庫存管理、進貨管理及供應商與客戶關係建立? (A)銷售點系統 (B)專家系統 (C)管理資訊系統 (D)決策支援系統
34.下列何種系統提供經理人制定決策所需的資訊,通常是結構化的決策,並與公司作業上的活動有關?(A)專家系統 (B)策略資訊系統 (C)企業永續原則 (D)管理資訊系統
35.下列何種系統能透過交談方式,根據知識資料庫,來做思考、推理,並協助決策者解決非結構化的問題?(A)知識管理系統 (B)管理資訊系統 (C)決策支援系統 (D)交易處理系統
36.辦公室自動化會為組織員工帶來各種壓力,當員工懶於思考、過度依賴電腦是屬於何種壓力?(A)管理資訊系統 (B)生理的壓力 (C)行為的壓力 (D)動機的壓力
37.管理資訊系統建妥後,管理階層經由回饋可以迅速獲知計畫執行的重大差異及問題,以便推動何種管理? (A)網路管理 (B)例外管理 (C)目標管理 (D)重點管理
38.針對已排序資料 2、3、5、8、9、11、12、16、18,採用二分搜尋法(binary search)搜尋值 11,請問要多少步驟? (A) 2 (B) 3 (C) 4 (D) 9
39.在 C 語言中宣告如下,請問陣列 A 可存多少筆整數?int A[2][3][3]; (A) 6 (B) 18 (C) 24 (D) 48
40.下列何者的時間複雜度最佳?(A) O(n2) (B) O(nlog2n) (C) O(n) (D) O(log2n)
41.在河內塔問題中,要將四個圓盤從第一根木椿移到第三根木椿,至少需要移動幾次圓盤?(A) 7 (B) 15 (C) 31 (D) 63
42.一個堆疊(Stack)原本是空的,再經過 push 7,push 6,pop,push 5,push 4,pop 後,堆疊最上層的內容為何? (A) 4 (B) 5 (C) 6 (D) 7
43. SQL 語法中,要新增資料,請問______應該填入哪一個關鍵字? INSERT INTO students(id, age)______ (23,18) (A) SET (B) UPDATE (C) VALUES (D) VALUE
44.資料庫中外鍵(Foreign Key)的功能為何?(A)加速查詢的速度 (B)增加修改資料的速度(C)跟主鍵(Primary Key)一樣 (D)連結不同資料表
45.假設陣列 A 是一個大小為 20 的一維陣列,每個元素都需要 2 個位元組的儲存空間。已知 A[0]的位置為 100,請問 A[7]的記憶體位置為何? (A) 112 (B) 114 (C) 116 (D) 118
46.中序法(Infix)表示式 A+B*C+D/E 轉成前序法(Prefix)會變成下列何者?(A) A+B*C+D/E (B) ++ A/BC*DE (C) ++ A*BC/DE (D) ABC*+DE/+
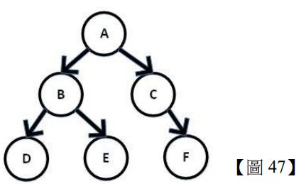
47.如【圖 47】所示二元樹的後序表示法(Postfix)為何?(A) DBEACF(B) DEBACF(C) ABDECF(D) DEBFCA
48.關係 R(A,B,C,D)具有功能相依 F={A→B,D→AB,B→C},R 的主鍵(Primary Key)應該選哪個?(A) A (B) B (C) C (D) D
49.下列程式碼的時間複雜度為何? (A) O(n2 ) (B) O(nlog2n) (C) O(2n ) (D) O((log2n) 2 )
50.假設雜湊函數(Hash Function) H(X) = X mod 10,當發生碰撞時,採用線性探測法。依序輸入 1、3、 14、13、3、5、7 請問 5 會出現在哪個位置? (A) 5 (B) 6 (C) 7 (D) 8