所屬科目:水資源工程學
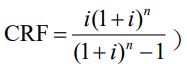
五、某河川現有堤防高度為 2 m,洪水超越堤頂之機率為 0.04,如果堤防高度 增加至 2.5 m、3.0 m、3.5 m、4.0 m 及 4.5 m 時,洪水氾濫機率分別為 0.02、 0.01、0.005、0.0015 及 0.0008。設洪水氾濫 1 次之損失為 12,000,000 元, 單位長度堤防每增高 0.5 m 之工程費為 200,000 元,工程費利息支出為 6%,工程經濟年限為 50 年,試求最經濟之堤防高度。(已知資金回收因子 )(20 分)