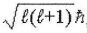
20. Zeke says that the magnitude of the orbital angular momentum in the hydrogen atom has the value L = ℓℏ. Ruth says that the maximum magnitude of the projection of the angular momentum along the direction of a constant magnetic field vector
is
. Which one, if either, is correct, and why? (A) Ruth, because the maximum value of L is
. (B) Ruth, because the orbital angular momentum always lines up with a magnetic field so that
has its maximum value along the field. (C) Zeke, because the maximum magnitude of
is L = ℓℏ. (D) Zeke, because the orbital angular momentum always lines up with a magnetic field so that
has its maximum value along the field. (E) Neither, because they have interchanged the maximum magnitude of
,
, and ℓℏ, its maximum projection along a magnetic field direction.