所屬科目:台電◆再生能源與程式設計
1.太陽光電電池的工作原理是基於下列何種效應?(A)光電效應 (B)電磁感應 (C)吸熱效應 (D)熱電效應
2.在相同環境條件下,下列何種太陽光電電池轉換效率最高?(A)多晶矽 (B)單晶矽 (C)非晶矽 (D)微晶矽
3.下列 3 種太陽電池材料(CdTe、Si、Ge)的能隙(Energy Gap)範圍分別為何?(A) 0.66 eV、1.1 eV、1.45 eV (B) 1.1 eV、0.66 eV、1.45 eV(C) 1.1 eV、1.45 eV、0.66 eV (D) 1.45 eV、1.1 eV、0.66 eV
4.一太陽電池的短路電流為 25 mA,開路電壓為 0.6 V,最大功率輸出為 12 mW,它的填充因子(fill factor)為何?(A) 50 % (B) 65 % (C) 80 % (D) 90 %
5.太陽光電系統中逆變器(Inverter)透過以下何種功能,可讓太陽光電組列發揮最大輸出功率?(A)將直流電轉成交流電 (B)對市電逆送電(C)最大功率點追蹤(MPPT) (D)併聯保護協調
6.太陽光電模組串列電流電壓曲線(I-V Curve)量測曲線「無法」得知以下哪種資訊?(A)模組是否有局部遮蔭 (B)模組溫度係數(C)短路電流 (D)開路電壓
7.某一太陽光電模組在STC 測試條件下之開路電壓VOC為 46 V,若開路電壓溫度係數為- 0.15 V/℃,當模組溫度為 45 ℃時,則開路電壓為多少伏特?(A) 42 (B) 43 (C) 44 (D) 40
8.大量太陽光電併入電網後,對於電力系統的影響,下列何者有誤?(A)改變每日用電尖峰負載時間(B)系統慣量降低,導致頻率響應變差(C)火力發電機組解併聯頻繁,以因應太陽光電發電間歇性(D)增加系統頻率穩定性
9.有一 5 kWp 的太陽光電系統在 3 月份(31 天)共發電 500 度,期間的累計日射量為 125 kWh/m2,其 PR 值(Performance Ratio)為何?(A) 90 % (B) 80 % (C) 70 % (D) 65 %【請翻頁繼續作答】再生能源與程式設計 第 2 頁,共 4 頁
10.一般大型風機的工作風速範圍為何?(A) 0~15 m/s (B) 0~25 m/s (C) 3~25 m/s (D) 8~35 m/s
11.在某一期間內,風機的實際發電量與理論發電量的比值,稱為風機的何者?(A)容量因數 (B)功率因數 (C)可利用率 (D)發電率
12.風機轉子擷取能量的多寡,主要取決於空氣的何種變化?(A)密度 (B)速度 (C)濕度 (D)溫度
13.下列何者為風機偏航系統(yaw system)的功能?(A)調整葉片槳距 (B)風機迎風轉向 (C)風速量測 (D)調節發電機電壓
14.風機的何項構件可調整葉片角度以擷取最佳化風能?(A)轉子 (B)機艙 (C)塔柱 (D)變槳系統
15.在極高風速或暴風的情況下,風機葉片的角度為何?(A) 70 (B) 0 (C) 10 (D) 90
16.風機結構所能承受的最大設計風速,稱為下列何者?(A)平均風速 (B)安全風速 (C)切出風速 (D)暫態風速
17.某一 2.0 MW 風機,其容量因素為 35 %,請計算該風機年發電量為何?(A) 6,132 MWh (B) 6.132 MWh (C) 17,520 MWh (D) 17.520 MWh
18.風電場 A 地的平均風速比 B 地高 10%。請問相較於 B 地,A 地的發電量預計會增加多少?(A) 10% (B) 20% (C) 30% (D) 33%
19.燃料電池發電,係以下列何種氣體為反應燃料?(A)氦氣 (B)氮氣 (C)氫氣 (D)以上皆非
20.如何提升一燃料電池系統的發電量?(A)增加氧量 (B)增加氫量 (C)增加電池數量 (D)增加質子
21.為了運輸和儲存的目的,可以將氫轉化成下列何者?(A)鋁 (B)氨 (C)藻類 (D)甲烷
22.氫被視為是潛在的潔淨燃料,下列有關綠氫、藍氫、褐氫差異的敘述,何者正確?(A)藍氫由甲烷重組並將碳排放捕獲下來;綠氫是利用再生能源電解水製成(B)藍氫是利用水力發電製成;綠氫是由水與生質能反應製成(C)褐氫是在廢棄物轉化能源的設施中製成;綠氫是利用聚光太陽能來重組蒸氣(D)褐氫是利用鐵奈米粒子催化水蒸氣重整反應;綠氫是由水與生質能反應製成
23.下列有關海洋能源的敘述,何者有誤?(A)潮汐能、波浪能、海流發電或溫差發電等都是海洋能源(B)臺灣地區沿海的潮差很大,適合發展潮汐發電(C)溫差發電原理是利用海水表層暖水與深層冷水的溫度差異來發電(D)海流發電和波浪發電為動能轉電能模式
24.新興能源中的海洋波浪發電,其發電原理為何?(A)運用海面和海底的水溫不同 (B)利用洋流的動能(C)運用波浪上下運動所產生的壓力 (D)利用潮汐週期性的升降
25.下列何者最適合描述地熱能?(A)火山爆發產生的熱能 (B)來自溫泉的熱能(C)來自地球內部的熱能 (D)來自地球表面岩石的熱能【請另頁繼續作答】再生能源與程式設計 第 3 頁,共 4 頁
26.下列何者不是計算機硬體的子系統?(A)控制單元 (B)資料單元 (C)邏輯單元 (D)輸入/輸出單元
27.IEEE對於浮點數的儲存有訂立標準,儲存格式被分為3個區域分別為sign、exponent及fraction,在單精度浮點數中 3 個區域依序佔多少 bit?(A) 1, 11, 52 (B) 1, 8, 55 (C) 1, 11, 20 (D) 1, 8, 23
28.如果要將 8 bit 資料的左半部 3 個位元清為 0,mask 及邏輯運算子為何?(A) 00011111, AND (B) 11100000, OR (C) 00011111, OR (D) 11100000, AND
29.下列何種記憶體,是利用高電壓將資料寫入,但抹除時需將線路曝光於紫外線下一段時間,資料始可被清空,再供重複使用?(A) EPROM (B) EEPROM (C) SRAM (D) DRAM
30.依 TCP / IP 的 5 層架構,其由外層到底層的順序為何?(甲) Application Layer (乙) Presentation Layer (丙) Session Layer (丁) Transport Layer(戊) Network Layer (己) Data Link Layer (庚) Physical Layer(A)甲乙丙丁庚 (B)甲乙丁乙庚 (C)甲丁戊己庚 (D)甲丙戊己庚
31.設計一個結構化程式或演算法,以下列哪 3 項基本組構(constructs)程序為主?(A)輸入(input)、解碼(decode)、輸出(output)(B)輸入(input)、驗證(verify)、執行(execute)(C)取用(fetch)、解碼(decode)、執行(execute)(D)循序(sequence)、決策(decision)、重複(repetition)
32.某一數列有 1,207 筆且資料已排序(sorted),以二元搜尋法(binary searching)於該數列中找尋一筆目標資料時,試問最多「比對資料」幾次即可得知結果?(A) 10 (B) 11 (C) 12 (D) 13
33.現行資料庫系統之資料模式(data model),下列何者較廣為使用?(A)階層式(hierarchical)資料模型 (B)網絡式(network)資料模型(C)連結式(linked)資料模型 (D)關聯式(relational)資料模型
34.下列有關演算法與程式的比較,何者正確?(A)演算法和程式都不一定要具有限性,可存在無窮迴路(B)演算法和程式都可存在無窮迴路(C)演算法必須具有限性,但程式則不一定(D)程式必須具有限性,但演算法則不一定
35.下列時間複雜度(time complexity)中,何者的時間最大?(A) O (logn3) (B) O (n3/2) (C) O (nlogn) (D) O (loglogn3)
36.矩陣(matrix)中,大部份元素都為 0 時,稱此矩陣為何?(A)有限矩陣(Finite Matrix) (B)零矩陣(Zero Matrix)(C)稀疏矩陣(Sparse Matrix) (D)以上皆非
37.下列何種排序法較其他 3 者所執行的時間,有最明顯的差異?(A)氣泡排序(bubble) (B)謝耳排序(shell) (C)選擇排序(selection) (D)合併排序(merge)
38.下列有關串列(list)結構的敘述,何者有誤?(A)二元搜尋(binary search)可使用在有序串列(ordered list)上(B)堆疊(stack)及佇列(queue)都是串列的一種(C)串列可用來表達一個集合(set),一個字串(string),一個多項(polynormial)(D)串列必須用指標(pointer)來表示
39.下列有關鏈結串列(linked list)的敘述,何者有誤?(A)不必佔用連續記憶體位置(B)比陣列(array)浪費記憶體空間(C)隨機存取功能(random access)比陣列(array)弱(D)插入與刪除時需移動大量資料
40.利用快速排序法(quick sort)排序並以第一個元素為基準(pivot),下列哪個數列所需時間最長?(A) 2 3 4 5 1 (B) 5 4 3 2 1 (C) 1 3 5 2 4 (D) 1 2 3 5 4
41.一個深度(depth)為 n 層的二元樹,其最多的節點數為何? (A) n2 (B) n2 -1 (C) 2n -1 (D) 2n
42.下列對於資料結構中,堆疊(stack)及佇列(queue)的敘述,何者有誤?(A)堆疊的特性是後進先出,佇列的特性是先進先出(B)無論是堆疊或是佇列皆可實作出 Linked List(C)作業系統常用佇列來記錄各個程序(Process)的資訊(D)程式語言的直譯器是利用堆疊技術來記錄函數呼叫時的資訊
43.依照 python 的程式撰寫方式以下的程式時,應該如何修正才能正常執行? for i in range(1,10): {print(i)} (A)宣告變數型 (B)修正 for 迴圈語法 (C)將大括號改用縮排 (D)以上皆是
44. num = 5 + True,以上程式中 num 的輸出結果為何?(A) 6 (B) 5 (C) 4 (D)無法執行
45. for i in range(1,10): j=j+i,如 j 的初始值為 5,其輸出結果為何?(A) 45 (B) 50 (C) 55 (D) 60
46. python 提供的內建函式庫中,下列何者用於進行檔案的讀取?(A) file () (B) read () (C) get () (D) open ()
47.下列何者不是 python 內定義的資料型態?(A) string (B) List (C) Dictionary (D) character
48.在 try…except…finally 敘述中,無論例外有沒有發生都會執行下列哪些程式區塊?(A) try (B) except (C) finally (D)以上皆是
49.運行完以下程式碼後,L 的值會變成什麼?(A) [1, 2, 3, 4] (B) [1, 2, 4, 5] (C) [1, 2, 5, 4] (D) [1, 5, 4, 4]
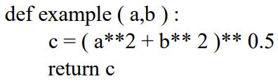
50.已有一個 test. py 且程式碼如下:請問在另一個.py 檔中,import test 後程式碼應該如何編寫才能回傳 a = 3 且 b = 4 的數值,回傳數值又為下列何者?(A) c = test. example (3, 4),5 (B) c = example (3, 4),5(C) c = test. example (3, 4),7 (D) c = example (3, 4),7