所屬科目:台電◆流體力學與統計學
1.當流體受剪應力,其應變率與剪應力大小呈非線性關係,此類流體為何? (A)非穩定流體 (B)不可壓縮流體 (C)非牛頓流體 (D)非均質流體(non-homogeneous)
2.電梯地板上放置總質量為 36 kg 的水箱,當電梯以 2.1336 m/s2的加速度向上,則水箱對地板施 加的力為何? (A) 276 N (B) 353 N (C) 430 N (D) 450 N
3.在牛頓流體中,一般流體之黏度隨著溫度而變化,下列敘述何者正確? (A)液體黏度隨著溫度升高而降低 (B)氣體黏度隨著溫度升高而降低 (C)液體黏度隨著溫度升高而升高 (D)氣體黏度不隨著溫度而變化
4.體積模數(bulk modulus) 是用來表示流體的壓縮性之特性,=-dp ∕ (dV/V),p 為壓力,V 為 體積,下列敘述何者有誤? (A)負號表示當壓力增加時,將導致體積減少 (B)當 m=ρV,=dp ∕ (dρ/ρ),m 為質量,p 為壓力,ρ 為密度 (C)一般氣體的值較大 (D)體積模數愈大,表示流體相對不可壓縮性
5.將直徑 25 mm 的軸拉過圓柱形軸承,如【圖 1】所示,填充軸與軸承之 間 0.3mm 間隙的潤滑劑是運動黏度(kinematic viscosity)8× m2 /s 和比 重為 0.91 的油,假設間隙中的速度分佈是線性的,求以 3 m/s 的速率拉 動軸所需要的力為何?(水在 4℃的密度@4℃為 1000 kg/m3 )
(A) 256 N (B) 286N (C) 324 N (D) 350N
6. 9 psia 的絕對壓力,對應於 14.7 psia 的標準大氣壓力的錶壓是多少 psi? (A) -5.7 (B) 23.7 (C) 5.7 (D) 9
7.高爾夫球表面有許多小凹洞,是為了增加球表面的粗糙度,其增加粗糙度的目的為何? (A)增加空氣浮力 (B)減少空氣浮力 (C)增加空氣阻力 (D)減少空氣阻力
8.空氣以 V=5t2 ı̂ ft/s 的均勻速度流過管道,其中 t 的單位是秒,求時間 1 s 的加速度(公式)為何? (A) 5 ı̂ ft/s2 (B) 10 ı̂ ft/s2 (C) 15 ı̂ ft/s2 (D) 20 ı̂ ft/s2
9.下列何種物理因次有誤? (A)密度 ρ: (B)運動黏滯係數: (C)速度 V: (D)流量 Q:
10.若流體於光滑圓管管路中流動,當雷諾數超過多少時,此流體之流動型態為紊流? (A) 4000 (B) 3500 (C) 3200 (D) 3000
11.流體流過固體表面時,與固體表面的相對速度為零,此為下列何種條件? (A)無速度邊界條件 (B)無滑動邊界條件 (C)無黏性邊界條件 (D)無壓力邊界條件
12.對於完全發展的層流,其摩擦係數(friction factor) 值為何? (A) 32/Re (B) 64/Re (C) 128/Re (D) 256/Re
13.在管路系統之能量損失,主要損失與下列何者有關? (A)閥門 (B)彎管 (C)三通管 (D) 直管內摩擦
14.液壓機的基本元件如【圖 2】,柱塞的面積 1 in2,可以透過連桿機構 向柱塞施加力 F1,其機械優勢為 8 比 1。透過對連桿施加 20 磅的力 (lb),如果大活塞面積為 150 in2,F2 為多少力(lb)?
(A) 12,000 (B) 24,000 (C) 36,000 (D) 48,000
15.下列對於穩定流場中流線函數 的敘述,何者正確? (A)非旋性、不可壓縮 (B)非旋性、可壓縮 (C)旋性、不可壓縮 (D)旋性、可壓縮
16.一直徑 76mm 的管路,管內流速為 3 m/s,欲流入盛滿 0.408 m3的容器內,需要多少時間(s)? (A) 20 (B) 24 (C) 30 (D) 36
17.要知道圓管的摩擦係數,需要知道雷諾數及下列哪個無因次參數? (A)福祿數(Froude number) (B)尤拉數(Euler number) (C)史特豪數(Strouhal number) (D)相對粗糙度
18.有一個很大的水儲槽,槽側有個小的排水口,則出口的平均流速可運用流體力學哪個觀念? (A)連續方程式 (B)動量方程式 (C)熱力學第三定律 (D)伯努力方程式
19.伯努力方程式水頭形式可分為壓力水頭、動壓水頭及高度水頭,下列何者為壓力水頭的運算式? (A) P/ρ (B) P/(ρg) (C) V2 /2g (D) z
20.在量測流場中,下列何者為使用於停滯點壓力或流體流速用之裝置? (A)文氏管 (B)靜壓管 (C)皮托管 (D)U 型管
21.下列何者是用來量測管內流體體積流量或質量流率用儀器,藉由面積漸縮造成速度及壓力改 變,並藉由 U 型管量測壓力變化,求得管內中流量大小的裝置? (A)文氏管 (B)靜壓管 (C)皮托管 (D)流孔板(orifice plate)
22.水躍(hydraulic jump)是指流體在上游處以極高速情況下在渠道中流動,可能會造成渠道下游處 變成水流深度變高且流速變低的近似不連續現象,此為下列哪種現象的發生? (A)水位下降 (B)能量釋放 (C)沉澱傳輸 (D)壓力調整
23.福祿數(Froude number) Fr 其物理意義為何? (A)慣性力與黏滯力之比 (B)慣性力與表面張力之比 (C)慣性力與重力之比 (D)慣性力與可壓縮力之比
24.有一牛頓流體,其比重為 0.912,動力黏度 0.38 N˙s/m2,今該流體於一直徑 50mm 之圓管中 的流速為 6 m/s,則其雷諾數(Reynolds number)為何? (A) 520 (B) 650 (C) 720 (D) 750
25.水流管的摩阻數學式稱為達西威斯巴哈(Darcy-Weisbach) ,下列敘述何者有誤? (A)僅適用於水平圓管,不適用於傾斜圓管 (B)與管流速度的平方成正比 (C)與管內摩擦因子成正比 (D)與管內直徑成反比
26.給定,則為? (A) 0.07 (B) 0.18 (C) 0.25 (D) 0.72
27.某工廠一週內生產出的產品數量為隨機變數,平均數為 100,變異數為 400,則此工廠於一週 內生產出至少 120 個產品的機率上界為何? (A) 0.5 (B) 0.9523 (C) 0.25 (D) 0.4
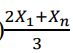
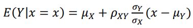
28.設 X與 Y 為任意離散或連續隨機變數,且已知%|& = '為'之線性函數,則下列何者成立? ((:期望值,:相關係數,*:變異數) (A)(B)(C)(D)
29.下列關於幾何分配(geometric distribution)的敘述何者正確? (A)在單位時間內偶發事件發生的次數 (B)兩次偶發事件之間的間隔時間 (C)進行獨立的成功/失敗試驗,直到發生 1 次成功為止,其所需的試驗次數 (D)進行 1 次獨立的成功/失敗試驗,描述其成功發生的機率
30.企鵝媽媽每次下蛋的數量不固定,其下蛋的數量服從母數為2的 Poisson 分配,而每顆蛋僅有3 的機率可成功孵化出企鵝寶寶,則每次下蛋後,能夠成功孵出企鵝寶寶的平均數量為何? (A) 3 (B) 32 (C) 2 (D)
31.下列何種特性是指數分配經常用於衡量機器、零件壽命的原因? (A)指向性 (B)無記憶性 (C)對偶性 (D)唯一性
32.下列有關大數法則(law of large number)的敘述,何者正確? (A)無論母體分配為何,只要樣本數足夠大時,則樣本平均數會趨近於常態分配 (B)無論母體分配為何,只要樣本數足夠大時,則皆視同自常態分配抽樣 (C)無論母體分配為何,當樣本數趨近於無限大時,該母體會自動轉為常態分配 (D)無論母體分配為何,當樣本數趨近於無限大時,則樣本平均數會逼近母體期望值
33.設為θ之一個點估計量,且,下列何者成立時可代表為θ之不偏估計量? (A) (B) (C) (D)以上皆非
34.下列何者為假說檢定之型一錯誤(type I error)? (A)對立假說為真實狀況,最終不拒絕虛無假說 (B)虛無假說(H0)為真實狀況,最終拒絕了虛無假說 (C)虛無假說為真實狀況,最終不拒絕虛無假說 (D)以上皆非
35.現有 30筆資料,算出 Y對 X的迴歸式 = 21.681.83&,且已知 = 10.2, = 3.2,SSE =87.34,則R2為何? (A) 0.6512 (B) 0.6751 (C) 0.6955 (D) 0.7059
36.若&為隨機變數服從某平均數為(變異數為*之母體分配,如果抽出足夠大的樣本數,則下列敘述何者有誤?( 為隨機變數&之平均數 (A) 會近似常態分配 (B) 的標準差與樣本數成反比 (C) 的標準差與μ成反比 (D) 的標準差與σ成正比
37.自某工廠中抽樣 500 個燈泡樣本進行破壞試驗,得其平均可發光 1100 小時,標準差為 200 小 時,則此工廠生產之燈泡可發光時數之 95%信賴區間為何?( = 1.96, = 1.645 (A)[1082.469,1117.531] (B)[1085.287,1114.713] (C)[1099.216,1100.784] (D)[1099.342,1100.658]
38.某次抽樣 1000 人進行抽樣調查,需要增加多少樣本數才能將標準誤差降為一半? (A) 2000 (B) 3300 (C) 3920 (D) 4000
39.假設, i = 1,2,3 … … M為服從常態分配N(μ,σ2) 的隨機分配,下列何者不是(的不偏估計量? (A)X1-X2-X3+2X4(B) (C) (D)
40.下列有關常用抽樣分配間關係的敘述何者正確? (A) (B)(C) (D)
41.某工廠每日生產上萬個零件,其良率為 90%,每日結束時將抽檢 5個樣品,若抽檢到 2個以上 的不良品時,將當日生產的整批零件銷毀,則發生銷毀的機率為多少? (A) 0.01944 (B) 0.032805 (C) 0.04374 (D) 0.08146
42.下列何者不屬於線性迴歸模型的假設? (A)假設誤差項服從常態分布 (B)假設自變數與依變數具高度相關性 (C)假設誤差項彼此獨立 (D)同質變異數 (homoscedasticity) 假設
43.下列有關迴歸模型(Regression Models)的敘述,何者正確? (A)迴歸模型是用於分群問題的常用分析手法之一 (B)判定係數(R-square)等於自變數與應變數之相關係數的平方 (C)若自變數個數增加,判定係數(R-square)一定不會變小 (D)若相關係數為零,代表依變數與自變數沒有相關性
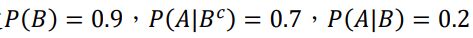
44.王先生於週末去健身房的機率是 0.7,王太太於週末去健身房的機率是 0.4,王太太去健身房 時王先生也跟著去的機率是 0.8,請問兩人週末都不去的機率為何? (A) 0.22 (B) 0.18 (C) 0.24 (D) 0.28
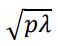
45.令&、%為兩隨機變數,已知與,則E(Y)為何? (A) 5.5 (B) -9 (C) 0.33 (D) 0.11
46.下列何種變數的處理手法,能用來處理迴歸分析時將發生變數共線性問題? (A)虛擬變數編碼(dummy variable encoding) (B)目標編碼(target encoding) (C)獨熱編碼(one hot encoding) (D)頻率編碼(frequency encoding)
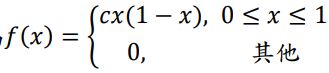
47.某隨機變數&之機率密度函數為,則其常數 c 為何? (A) 6 (B) 2 (C) O (D) O d
48.某工廠每週平均生產 250 個商品,則一週內生產超過 1000 個商品的機率至多為何? (A) 0.1 (B) 0.25 (C) 0.5 (D) 0.75
49.令Y1、Y2、Y3與Y4為獨立同分配抽自標準常態分佈,則之分配為何? (A)卡方分配自由度 3 (B)卡方分配自由度 4 (C)卡方分配自由度 5 (D)卡方分配自由度 6
50.在一因子變異數分析隨機區集化設計的模型處理中,總平方和(SSTO)包含下列何者? (A)處理平方和(SSTR) (B)區集平方和(SSB) (C)誤差平方和(SSE) (D)以上皆是