所屬科目:教甄◆機械科/模具科/製圖科/生物產業機電/電腦機械製圖科
1.下列哪四種基本要素在力學課程即是探討物體運動狀態及其改變因素?(A)時間、速度、重量與力(B)時間、空間、長度與力(C)時間、空間、質量與力(D)時間、速度、長度與力。
2.一部腳踏車其前後鏈輪之齒數分別為60齒與10齒,並以鍊條作為傳動,當腳踏車前鏈輪轉速為50rpm時,則其後輪之轉速為若干?(A)300rpm(B)400rpm(C)200rpm(D)500rpm。
3.假設當A球自50m之燈塔塔頂自由落下,而B球自地面以5m/s的速度往上拋,在忽略空氣阻力條件下,則計算兩球在空中幾秒後可相遇時間?(A)5秒(B)10秒(C)15秒(D)20秒。
4.下列敘述何者正確?(A)彈性係數E的值與材料的大小及幾何形狀有關(B)材料的彈性係數越大,材料越容易變形(C)結構變形或應變的程度是依據材質而定(D)應力常用的絕對單位為N/mm2。
5.以下敘述何者有誤?(A)接觸面越粗糙,則摩擦力越大(B)最大靜摩擦力與正壓力成正比(C)螺旋之導程角α,摩擦角φ,當α>φ時,螺旋起重機才可使用(D)動摩擦力小於最大靜摩擦力。
6.當小果行進間不慎與人擦撞並滑落手中的便當,設便當呈現自由落體運動狀態,忽略空氣阻力條件下,掉落之便當在第2秒內的位移與2秒內的位移量值之比為何?(A)3:4(B)9:5(C)2:3(D)2:5。
7.當軸受到單純扭矩作用時,為了探討軸扭曲變形的狀況,下列基本假設何者正確?(A)軸為非均質材料,且所產生的剪應力與剪應變仍符合虎克定律(B)扭矩的作用面必須與軸線平行(C)軸受扭矩變形後橫截面仍保持平面(D)軸受扭矩變形後,無彎曲作用。
8.當一直徑為40mm之實心圓軸以300m/min之切線速度進行外圓車削加工,此時圓軸之角速度為多少rad/sec?(A)150(B)250(C)350(D)450。
9.家用電扇之擺頭機構中,電扇馬達轉速為1800rpm,減速蝸輪齒數100,蝸桿為單螺紋,試求蝸輪轉速為何?(A)2rpm(B)15rpm(C)18rpm(D)8rpm。
10.可傳達推力、拉力、壓力、衝力之連桿,曲柄之運動傳達方式,稱為何種連接物?(A)直接接觸剛體連接物(B)間接接觸剛體連接物(C)直接接觸撓性連接物(D)間接接觸撓性連接物。
1.依下圖所示,繩索一端鉚接於A點,且在B、C兩點各別懸掛900牛頓與500牛頓的重物。如C點施以水平拉力P拉伸此纜繩系統,並使該系統保持了平衡狀態。請問X的距離長度為多少公尺?(四捨五入至小數第二位)
2.如下圖所示,有一球以10m/s的速度在階梯頂端的地面上朝30度角彈射出去。假設每階的高度12cm寬度60cm,請問當球落下時最先會落在第幾階的階梯上?(重力加速度以10m/s2計算且射出後第一個遇到的階梯為第一階)
3.如圖所示,取受力結構中某一點所得到的單元體。其在x-y座標平面上標示所受力的狀況為=80MPa、=-40MPa、=-60MPa、=60MPa。試求第一主應力σ1(最大主應力)所在主平面的法線位置夾角α為多少度?
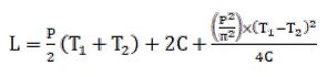
4.設P為鏈條節距,T為鏈輪齒數,D為鏈輪節圓直徑,C為兩鏈輪中心距離,請證明鏈條長度。
5.如下圖所示為一周轉齒輪系,齒輪A有48齒,齒輪B有11齒,齒輪C有30齒,齒輪D有120齒,若齒輪A固定不動,則齒輪D的轉速與旋臂的轉速比值為何?
6.請寫出常用的3類碳化物刀具,並寫出顏色區別,刀具主要成分及適用的切削材料。
7.如下圖所示,一質量10kg物體由靜止沿斜面滑下S距離後,開始壓縮彈簧至物體完全停止,彈簧壓縮量為2cm,彈簧常數為1000N/cm,假設重力加速度g=10m/s2,斜面為光滑不計摩擦影響,則物體下滑距離S應為多少cm?
8.有一塊狀制動機構如下圖所示,其中a=40cm,b=160cm,c=20cm,摩擦輪鼓直徑40cm順時針方向旋轉,若需72000N-cm制動扭距方可完成剎車,若施力槓桿端作用力P=1960N,則塊狀制動與輪鼓間摩擦係數至少需若干?(四捨五入取至小數點後兩位)
9.如圖所示,一螺旋起重機以5kgf輸入314N-m的功,輸出100N-m的功,將100kgw的物舉起10cm,其機械利益是多少?(假設重力加速度是10m/s2,π=3.14)
10.已知一物體之第三角投影法的前視圖和俯視圖,如下圖所示,請繪製出正確之右側視圖?