所屬科目:計算機概論、大意(資訊科學概論,電腦常識,電子計算機概論)
11 下圖的循序電路包含二個 D flip flops A 與 B 及一個輸入訊號 X。其行為以狀態轉換圖(state transition diagram)表示,何者正確?(狀態以"AB"表示之。例如:狀態 01 代表 A=0,B=1)(A) (B)(C) (D)
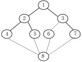
18 下圖中的最小生成樹(Minimum Spanning Tree)其邊之總長為何?(A) 25(B) 26(C) 27(D) 28
19 下列那個序列是下圖中以 0 為起點的 Depth-first search 順序?(A) 0、1 、2 、3、4、5 (B) 0、1 、3 、2、4、5(C) 0、1 、2 、4、3、5 (D) 0、1 、3 、5、2、4
22 圖示用先廣後深搜尋法(Breadth-First Search)搜尋,當走訪優先權相同時,數字大的先走,走訪結果何者正確? (A) 12483657 (B) 13786524 (C) 12345678 (D) 13276548
26 如下所示之 C++程式,其輸出為? (A) yy = 5, xx = 3 (B) yy = 3, xx = 5 (C) xx = 5, yy = 3 (D) xx = 3, yy = 5
27 若執行下列 C 語言的程式碼片段,並輸入“1 0”,執行結果為下列何者? (A) 3- (B) 1-0- (C) 3-1- (D) 3-1-0-
28 下列 C 語言程式的指令執行時,會產生何種輸出?(A)1 2 (B)3 4 (C)42 (D)31
29 執行下列 C 語言程式,產生的輸出為下列何者? (A) AB-BA- (B) BA-AB- (C) BA-BA- (D) AB-AB-
30 下列 C 語言程式執行後,輸出結果為下列何者?(A) 19 (B) 28 (C) 29 (D) 30
32 給定以下類別定義:若在 main()中執行以下指令,則將產生的輸出為何? A v1; B v2; v2.fb(v1); (A) 100 200 (B) 100 400 (C) 300 200 (D) 300 400