所屬科目:教甄◆資訊科技概論專業(電腦科)
2.圖一程式是屬於何種演算法? (A)分而治之 (B)河內塔 (C)費氏數列 (D)氣泡排序
9.請問圖二程式執行後輸出結果為何? (A) 05612612 (B) 05612712 (C) 0561160 (D) 0561170
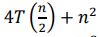
10.當一個演算法可以用遞迴關係式來進行表示的時候,我們利用 Master Theorem 來評估該演算法的時間複雜度。給定下面的時間函數,請利用 Master Theorem 來評估時間複雜度: T(n) = (A)θ(n2)(B)θ(n2log n)(C)θ(n3)(D)θ(n3log n)
11.請參考下面圖三函式 F,已知 F(7)回傳值為 25,且 F(8)回傳值為33,請問 if 的條件判斷式應為何?(A) a % 2 != 1 (B) a * 2 > 16 (C) a + 3 < 12 (D) a * a < 50
13.請參考下面圖四是依據分數 s 評定等第的程式碼片段,正確的等第公 式應為:90~100 判為 A 等,80~89 判為 B 等,70~79 判為 C 等,60~69 判為 D 等,0~59 判為 E 等,這段程式碼在處理 0~100 的分數時,有幾 個分數的等第是錯的? (A) 1 (B) 10 (C) 11 (D) 21
14.請參考下面圖五遞迴函數,則 f(4) 將為何? (A)108 (B) 324 (C) 1944 (D) 3888
21.若以 G(200)呼叫下面圖六 G( )函式,n 的值為何? (A)25 (B)250 (C)500 (D)750
25.執行下列圖七程式碼,其輸出結果為何? (A) 100 220 330 261 150 (B) 100 236 306 254 165 (C) 105 224 328 239 165 (D) 100 220 337 239 165
(二) 若有一篇文章只出現 A~E 五種字母,每個字母出現的次數統計如下: 先依霍夫曼演算法(Huffman Coding)建立霍夫曼樹,再利用霍夫曼樹產生霍夫曼編碼,則編碼後之資料有_________位元(bits)。
(三) 給定一個權重圖,如下面圖八權重圖所示,假設以頂點 A 為起始點,請 利用 Kruskal 演算法找出最小生成樹 MST (Minimum Spanning Tree), 最小生成樹所有邊的權重總和為_________。