所屬科目:教甄◆資訊科技概論專業(電腦科)
6. 以下何者不是以下有向圖(Directed graph)的拓樸順序(topological order)(A)ABCD (B)ABDC (C)ACDB (D)ACBD
8.給定程式區段如下,若輸入數字(值)n 為 1234,請問輸出為何(A)181,548 (B)31 (C)30 (D)29
5.以 Kruskal 演算法處理下圖所得之最小成本展開樹(Minimum Cost Spanning Tree),其 Cost=_________
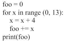
10.執行以下 Python 程式的輸出結果為何? ___________
11.執行以下 C 程式的輸出結果為何? ____________
12.以下 Pyhton 程式所執行的是何種排序法? _____________
13.下列函式 F(16) 回傳值為何? ____
14.若以 F(13) 呼叫下列 Python 函式輸出結果為何? ______________