所屬科目:天氣學
三、定量降水預報為民眾很關心的氣象預報產品之一。評估定量降水預報能 力時,氣象預報員經常使用預報降水校驗列聯表進行分析,列聯表如下表所示。根據此表,我們可以計算偏離得分(Bias Score; BS) 、預兆得分 (Threat Score; TS)、公正預兆得分(Equitable Threat Score; ETS)、及可 偵測機率(Probability of Detection; POD)等預報降水能力指標,請說明 這四項指標的定義與其優缺點。(20 分)
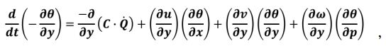
四、請根據以下之簡化的鋒生方程(Frontogenetical Function) 說明等號右邊這四項的物理意義為何?以及等號右邊這四項如何造成鋒面區域的位溫梯度增加?(20 分)