所屬科目:普考/四等◆經濟學(概要、概論)
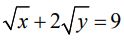
11 某甲對 x 財貨及對 y 財貨的無異曲線為。當某甲消費 x=1 時,此時的邊際替代率為何? (A) 1/2 (B)1 (C) 3/2 (D)2
26 給定以下某國國內生產毛額(支出面)資料,2022 年此國家的貿易為何? (A)順差 50 千億元 (B)逆差 50 千億元 (C)順差 45 千億元 (D)逆差 45 千億元