所屬科目:高考三級◆流體力學與水處理工程
一、下兩圖為水庫供水系統及之赫茲-威廉方程式圖解(C=100) ,原水從水庫 A 以重力流到 C 和 D 點,同時也流到水庫 E,各點的高程分別為 A: 650 m、B:590 m、C:550 m、D:570 m,而 B、C 點所量到的水壓分 別為 300、500 kPa,已知 BD 及 BE 段輸水管的流量分別為 30 及 75 L/s。 請計算 BC 段的流量、D 點的壓力、水庫 E 的最高水位、AB 段輸水管所需管徑。 (20 分)
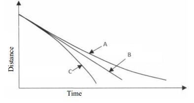
三、水處理程序中沉澱是一個很重要的單元,濁度顆粒沉降行為可以分那四種型式,並說明此四種型式沉降可描述何單元的沉降行為?此外,沉降行為可以用下圖表示,試說明 ABC 三曲線各代表何種型式的沉降,並說明理由。(20 分)
四、折點加氯(chlorination breakpoint)是對自來水進行加氯消毒的一種有效方法,然而有那些水質因素會影響折點位置?某水處理廠之加氯消毒目 標為 3log 的細菌減少率,已知細菌自由餘氯消毒常數(以 10 為底)為,試計算需要多少停留時間才可以達到此殺菌效果?(20 分)