所屬科目:泉勝◆程式設計實習
2.(A)5 (B)8 (C)13 (D)21
3.(A)31 (B)43 (C)57 (D)73
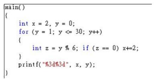
4.(A)0 0 (B)4 21 (C)2 11(D)3 11
5.請問下列程式片段執行後,會印出甚麼?(技藝競賽程式組 109)(A): 5 31(B): 15 31(C): 10 31(D): 12 31
6.請問下列程式片段執行後,輸出的第 12 個數值是?(技藝競賽程式組 109)(A): 31(B): 37(C): 41(D):43