所屬科目:泉勝◆程式設計實習
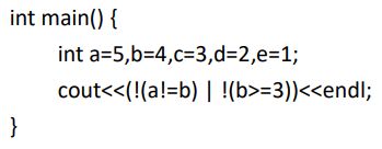
1.選出錯的。
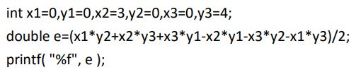
2.寫出程式執行結果。
(A)3(B)3.500000(C)3.000000 (D)程式錯誤
3.寫出程式執行結果。
4.下列 C 語言程式碼片段執行後,x 與 y 的結果為何?(統測 111)(A) x 為 3,y 為 3 (B) x 為 3,y 為 3.5 (C) x 為 3.5,y 為 3 (D) x 為 3.5,y 為 3.5
5.請問下列左右兩個 C 語言片段程式執行後,b 變數的值分別為何?(技藝競賽 112)
(A)3, 2.5 (B)2.5,2.5 (C)3, 2 (D)2,
6.C 語言指令 printf(“%d”, 4/3*3);答案為?(技藝競賽程式組 109) (A) 4(B) 3(C) 3.99999(D) 0.44444
7.寫出程式執行結果。
double ratio; ratio=4/3; printf("%lf\n",ratio);(A)3(B)1.000000(C)1.333333 (D)程式錯誤
8.寫出程式執行結果。
double ratio; ratio=4.0/3; printf("%lf",ratio);(A)3(B)1.000000(C)1.333333 (D)程式錯誤
9.以下程式用來計算球體體積,計算結果錯誤,請問錯在哪一行?(技藝競賽程式組 108)
(A)4(B)5(C)6(D)7
10.以下程式執行結果。(技藝競賽 108)(A)1222(B)1221(C)1211(D)1111
11.寫出程式執行結果。
(A)1(B)1528(C)16 (D)300
12.寫出程式執行結果。
(A)12(B)45(C)73 (D)100
13.寫出程式執行結果。
(A)6(B)45(C)73 (D)100
14.寫出程式執行結果。
(A)6(B)57(C)73 (D)96
15.寫出程式執行結果。
(A)6(B)57(C)73 (D)579
16.寫出程式執行結果。
(A)0(B)1(C)2 (D)3
17.寫出程式執行結果。
18.寫出程式執行結果最接近。
(A)0(B)1.0(C)5.0 (D)6.0
19.寫出程式執行結果最接近。
20.寫出程式執行結果最接近。
(A)0(B)1.0(C)2.4 (D)3.2
21.寫出程式執行結果。
(A)5.000000(B)1.000000(C)6.000000(D)5
22.寫出程式執行結果。
(A)5x+2y=8(B)3x+4y-12=0(C)5x-2y-8=0(D)5x-3y-1=0
23.寫出程式執行結果。
(A)5x+2y=8(B)-3x+1y+1=0(C)5x-2y-8=0(D)5x+y+2=0
24.寫出程式執行結果。
(A)3x+4y-12=0(B)-3x+1y+1=0(C)5x-2y-8=0(D)5x+y+2=0
25.寫出程式執行結果最接近。
(A)1(B)2(C)2.5(D)3.5
26.寫出程式執行結果最接近。
(A)1(B)2(C)3(D)5
27.寫出程式執行結果。
28.寫出程式執行結果。
29.寫出程式執行結果。
(A)1(B)2(C)3(D)4
30.寫出程式執行結果。
31.寫出程式執行結果。
32.寫出程式執行結果。
(A)8(B)9(C)10(D)11
33.寫出程式執行結果。(技藝競賽程式組 108)
(A)556(B)566(C)666(D)555
34.選出錯的。
35.選出錯的。
36.若要邏輯判斷式 !(X1 || X2)計算結果為真(True),則 X1 與 X2 的值分別應為何?(APCS 106 )(A) X1 為 False,X2 為 False(B) X1 為 True,X2 為 True(C) X1 為 True,X2 為 False(D) X1 為 False,X2 為 True
37.寫出程式執行結果。
(A)0(B)1(C)12(D)10
38.有關數字系統 2 的補數(2'S),以二進制表示負 13(-13),下列何者正確?(技藝競賽程式組 110)(A) 0000 1101 (B)1000 1101(C) 1111 1101 (D) 1111 0011
39.阿華想要了解 C 語言程式 if 條件敘述中常用的運算子&與&&的不同,撰寫如下程式,下列何者為程式執行結果?(統測 112)
(A) a&&b = 1 (B) a&&b = 0 (C) a&b = 1 (D) a&b = 0
40.(A)1(B)2(C)-3(D)4
41.(A)0(B)1(C)5(D)15
42.(A)4(B)1(C)2(D)3
43.依 C 語言之運算子優先權順序,下列運算式的結果,何者為真 ( true ) ?(統測 111)(A) ! ( 1 != 3 ) || 1 == 3 (B) 1 != 3 &&!! ( 1 == 3 ) (C) ! ( 1 < 3 ) || 1> = 3 (D) 1 < 3 &&! ( 1> = 3 )
44.執行完下列片段程式後,Num1 與 Num2 的數值分別為何?(統測 112 )
(A) Num1 = 79、Num2 = 197 (B) Num1 = 79、Num2 = 195 (C) Num1 = 40、Num2 = 200 (D) Num1 = 40、Num2 = 100
45.選錯的
46.寫出程式執行結果。
(A)10(B)11(C)8(D)5
47.寫出程式執行結果。(技藝競賽 112)
(A) 123 (B) 122(C) 222 (D) 223
48.寫出程式執行結果。
(A)6(B)3(C)4(D)5
49.寫出程式執行結果。
(A)7(B)1(C)2(D)5
50.寫出程式執行結果。
51.寫出程式執行結果。
(A)-1(B)1(C)0(D)5
52.寫出程式執行結果。
53.寫出程式執行結果。
(A)14(B)10(C)8(D)5
54.寫出程式執行結果。
55.寫出程式執行結果。
56.寫出程式執行結果。
(A)11(B)10(C)8(D)5
57.寫出程式執行結果。
58.寫出程式執行結果。
59. -3 的 2 補數以 8 位元表示,其值為何?(A)11111101(B)00000011(C)11111110(D)1111011
60. 2 補數的 10000001 代表(A)-128(B)-1(C)-2(D)-127
61.有關數字系統 2 的補數(2'S),以二進制表示負 13(-13),下列何者正確?(技藝競賽程式組 110) (A)0000 1101 (B)1000 1101(C) 1111 1101 (D) 1111 0011
62.有二個 2 的補數數字相加 1111 1001(2's) + 1111 1101(2's)的結果為下列何者?(技藝競賽程式組110) (A) -22 (B)-21(C) -10 (D) -9
63.下列 16 進位數,哪一個是用 2 的補數(two’s complement) 來表示的負數?(技藝競賽程式組 110)(A):4E(B):66(C):7D(D):A7
64.(A)0 (B)1(C)3(D)4
65. (A)0 (B)1(C)3(D)4
66. (A)0 (B)1(C)3(D)4