所屬科目:泉勝◆程式設計實習
1.若要利用 C 語言寫一個 BMI 函式,此一函式接收傳入兩個整數資料,經計算後回傳的數值必須 有小數點後至少兩位數精確度,BMI 函式的原型宣告應為下列何者?(111 年統測) (A) double BMI ( ); (B) void BMI ( int, int ); (C) int BMI ( int, int ); (D) float BMI ( int, int );
2. int main(){ double a=9.0,b=8.0,c=9.0; printf("%.2f",sqrt(a+b*c)); }(技藝競賽程式組 107)(A)8.00(B)9.00(C)10.00(D)81.00
3.在 C 程式需要使用數學函式,請問需要含括哪一個標頭檔?(技藝競賽修護組 111)(A)<stdio.h>(B)<math.h> (C)<stdlib.h> (D)<string.h>
4.請問 C 語言的亂數函式需要使用下列哪一個標頭檔?(技藝競賽修護組 111)(A)<stdlib.h>(B)<math.h> (C) <stdio.h> (D)<string.h>
5.(A) C++uslan (B) Cul (C) C++uselang (D) Cuslan
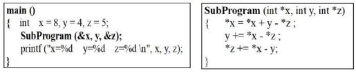
6.如下所示為主程式呼叫副程式的 C 程式碼,則其顯示 x y z 的結果如何? (技藝競賽程式組 112) (A)x=7 y=6 z=6 (B)x=8 y=4 z=5 (C)x=7 y=4 z=6 (D)x=8 y=6 z=6
7.(A)x=12,y=8,z=4(B)x=16,y=11,z=5(C)x=12,y=11,z=5(D)x=16,y=11,z=4
8.以下哪一種傳遞的參數,不受參數變數內容變更的影響? (技藝競賽程式組 112)(A) 值(value) (B) 局部變數(localvariable)(C) 參考(reference) (D) 全域變數(global variable)
9.當C 函式使用下列哪一個關鍵字開頭時,表示此函式沒有傳回值?(技藝競賽修護組111)(A) return (B)int (C)static (D)void。
10.下圖程式執行結果為何?(技藝競賽程式組 110)(A) 10 20 10 (B) 10 10 10(C) 10 10 20 (D) 10 11 10
11.下圖程式執行結果為何?(技藝競賽程式組 110)(A) 10 20 (B) 11 21(C) 11 11 (D) 21 21
12.下圖程式執行結果為何?(技藝競賽程式組 110)(A) 10 20 (B) 11 21(C) 11 11 (D) 21 21
13.下圖程式,如果輸入整數 1234,執行結果為何?(技藝競賽程式組 110)(A) 1234 (B) 4231(C) 1324 (D) 4321
14.請問下列程式執行後,輸出的第 12 個數值是?(A) 2 3 (B) 40 3(C) 2 40 (D) 40 2
15.請問下列程式執行後,輸入“Happy Birthday”,輸出結果為? (技藝競賽程式組 110)(A) 14 (B) Happy(C) 8 (D) Birthday
16.寫出程式執行結果。(技藝競賽程式組 107) (A)1,6,7,7,8,6,7,7,8,1,2 (B)1,6,7,7,8,8,9,9,10,1,2 (C)1,6,7,7,8,8,9,9,10,10,11 (D)1,1,2,2,3,3,4,4,5,5,6
17.曉華寫了下列一段 C 語言程式,想要測試程式執行時如何透過作業系統的終端機 ( Console ) 指 令取得參數 ( Arguments ) ,但發現無法成功進行編譯,應採取下列哪一個方案來解決這個問題?(統 測 112) (A) 將行號 4 中 main( int argc, char *argv[] ) 改為 main() (B) 去掉行號 3 最前面的註解標記 // (C) 將行號 1 的空白行刪除 (D) 在行號 1 新增#include
18.下列何者為程式執行結果? (A) 11, 11 (B) 13, 10 (C) 12, 11 (D) 12, 10
19.在執行到行號 12 的時候,想要讓 x 的值隨著行號 6 中 xin 的值更新,下列修改程式的方式 何者正確? (A) 行號 11 的 x 改為&x,並將函式 inc( ) 中所有的 xin 全部改為 *xin (B) 行號 11 的 x 改為 *x,並將函式 inc( ) 中所有的 xin 全部改為&xin (C) 行號 11 的 x 改為&x,並將函式 inc( ) 中所有的 xin 全部改為&xin (D) 行號 11 的 x 改為 *x,並將函式 inc( ) 中所有的 xin 全部改為 *xin
20.關於行號 2、行號 4、以及行號 10 的變數 sum 的敘述,下列何者正確? (A) 行號 2 的 sum 是全域變數,行號 4 的 sum 是區域變數 (B) 行號 2 的 sum 是區域變數,行號 4 的 sum 是全域變數 (C) 行號 2 的 sum 和行號 10 的 sum 都是區域變數 (D) 行號 2 的 sum 和行號 10 的 sum 都是全域變數