所屬科目:泉勝◆程式設計實習
1.寫出程式執行結果。(A)3 (B)5 (C)9(D)程式錯誤
2.寫出程式執行結果。(A)25 (B)5 (C)3(D)程式錯誤
3.寫出程式執行結果。(A)25 (B)5 (C)3(D)程式錯誤
4.寫出程式執行結果。(A)25 (B)5 (C)3(D)程式錯誤
5.寫出程式執行結果。nt main(){ int a[5]={3, 8, 6, 2, 5}; int *ptr=a; //務必和所指的陣列相同型態 ptr++; printf("%d\n",*ptr);// }(A)3 (B)8 (C)6(D)程式錯誤
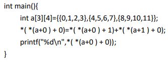
6.寫出程式執行結果。(A)66 (B)99 (C)150(D)程式錯誤
7.寫出程式執行結果。(A)5(B)6(C)7(D)程式錯誤
8.寫出程式執行結果。(A)55(B)66 (C)77(D)程式錯誤
9.寫出程式執行結果。(A)1(B)2 (C)3(D)程式錯誤
10.寫出程式執行結果。(A)1(B)2 (C)3(D)程式錯誤
11.寫出程式執行結果。(A)1(B)5 (C)6(D)程式錯誤
12.寫出程式執行結果。(A)1(B)5 (C)6(D)程式錯誤
13.寫出程式執行結果。(A)1(B)12(C)15(D)程式錯誤
14. 寫出程式執行結果。(A)1(B)12 (C)15(D)程式錯誤
15.寫出程式執行結果。(A)1(B)12 (C)15(D)程式錯誤
16.寫出程式執行結果。(A)1(B)12 (C)15(D)程式錯誤
17.程式填空,完成空格,可輸出二維陣列。(A)*(pa+i*3+j))(B)*(pa+i*2+j))(C)*(pa))(D)*(pa+j))
18.程式填空,完成空格,可輸出二維陣列。(A)*(a+i*3+j))(B)*(*(a+i)+j))(C)*(a+i)+j(D)*(*(a+3*i)+j)
19.寫出程式執行結果。(A)10(B)0 (C)1(D)程式錯誤
20.寫出程式執行結果。(A)10(B)0 (C)1(D)程式錯誤
21.寫出程式執行結果。(A)1(B)2 (C)3(D)程式錯誤
22.寫出程式執行結果。(A)1(B)2 (C)3(D)程式錯誤
23.寫出程式執行結果。(A)1(B)2 (C)6(D)程式錯誤
24.寫出程式執行結果。(A)1(B)5 (C)6(D)程式錯誤