所屬科目:泉勝◆程式語言與設計(上冊)
1.寫出程式執行結果。(A)Pass (B)Fail (C)66 (D)程式錯誤
2.寫出程式執行結果。(A)Pass (B)Fail (C)66 (D)程式錯誤
3.寫出程式執行結果。(A)Pass (B)Fail (C)66 (D)程式錯誤
4.寫出程式執行結果。(A)Pass (B)Fail (C)66 (D)空白
5.寫出程式執行結果。(A)Pass (B)Fail (C)66 (D)空白
6.寫出程式執行結果。(A)偶數(B)奇數(C)34 (D)空白
7.寫出程式執行結果。(A)在直線上(B)不在直線上(C)2(D)空白
8.寫出程式執行結果。
(A)子音(B)母音(C)x(D)空白
9.寫出程式執行結果。a=1match a:case 1:b='春'case 2:b='夏'case 3:b='秋'case 4:b='冬'case _:b='輸入錯誤'print(b)(A)春(B)夏(C)秋(D)程式錯誤
10.寫出程式執行結果。(A)春(B)夏(C)秋(D)輸入錯誤
11.寫出程式執行結果。
(A)春(B)夏(C)秋(D)輸入錯誤
12.寫出程式執行結果。(A)春(B)夏(C)秋(D)輸入錯誤
13.寫出程式執行結果。(A)春(B)夏(C)秋(D)程式錯誤
14.寫出程式執行結果。(A)A(B)B(C)C(D)程式錯誤
15.寫出程式執行結果。
(A)5 (B)4 (C)3(D)程式錯誤
16.寫出程式執行結果。(A)春(B)夏(C)秋(D)程式錯誤
17.寫出程式執行結果。(A)4(B)5(C)1(D)程式錯誤
18.寫出程式執行結果。(A)4(B)5(C)1(D)程式錯誤
19.寫出程式執行結果。(A)aa 60(B)bb 30(C)cc 80(D)程式錯誤
20.寫出程式執行結果。(A)3(B)4.0(C)5.0(D)6.0
21.寫出程式執行結果。(A)3(B)4(C)5(D)3.0
22.寫出程式執行結果。(A)3(B)4(C)5(D)3.0
23.寫出程式執行結果。(A)3(B)4(C)5(D)3.0
24.寫出程式執行結果。(A)x1=5(B)x1=6(C)no real answer(D)x1=2,x2=-3
25.寫出程式執行結果。(A)x1=5(B)x1=6(C)no real answer(D)x1=2,x2=-3
26.寫出程式執行結果。(A)1(B)-1(C)-3 (D)2
27.寫出程式執行結果。
(A)infinite sol (B)no sol (C) x=1 (D) x=2
28.寫出程式執行結果。(A)infinite sol (B)no sol (C) x=1 (D) x=2
29.寫出程式執行結果。(A)infinite sol (B)no sol (C) x=1 (D) x=2
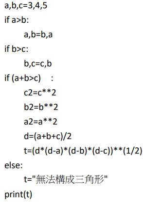
30.寫出程式執行結果。(A)無法構成三角形(B)銳角三角形(C)直角三角形(D)鈍角三角形
31.寫出程式執行結果。(A)無法構成三角形(B)銳角三角形(C)直角三角形(D)鈍角三角形
32.寫出程式執行結果。(A)無法構成三角形(B)6.0(C)3.0(D)4.0
33.寫出程式執行結果。(A)8(B)16(C)40(D)72
34.寫出程式執行結果。(A)A(B)B(C)C(D)D
35.寫出程式執行結果。(A)負數(B)Zero(C)正數(D)程式錯誤
36.寫出程式執行結果。(A)700(B)1350.0(C)1500(D)1200.0
37.寫出程式執行結果。
(A)I(B)II(C)III(D)IV
38.寫出程式執行結果。(A)I(B)x 軸(C)y 軸(D)II
39.寫出程式執行結果。(A)85(B)105(C)115(D)135
40.寫出程式執行結果。(A)85(B)105(C)115(D)135
41.寫出程式執行結果。(A)7(B)10(C)17(D)30
42.寫出程式執行結果。(A)7(B)10(C)17(D)30
43.寫出程式執行結果。(A)395000.0(B)40000.0(C)20000.0(D)305000.0
44.寫出程式執行結果。
(A)1800(B)1900(C)2000(D)2100
45.寫出程式執行結果。(A)0(B)2(C)4(D)20
46.寫出程式執行結果。
(A)三點共線(B)2(C)3(D)6
47.寫出程式執行結果。(A)三點共線(B)2.0(C)3.0(D)6.0
48.寫出程式執行結果。(A)外(B)內(C)3(D)4
49.寫出程式執行結果。
(A)外(B)內(C)3(D)4
50.寫出程式執行結果。(A)重度肥胖(B)中度肥胖(C)輕度肥胖(D)過重
51.寫出程式執行結果。(A)110(B)120(C)130(D)140
52.寫出程式執行結果。(A)4(B)5(C)6(D)7
53.寫出程式執行結果。(A)凹四邊行(B)凸四邊行(C)空白(D)程式錯誤