阿摩線上測驗
登入
首頁
>
技檢◆泥水-甲級
> 114年 - 00900 泥水 甲級 工作項目 04:工程進度表製定 1-25(2025/10/07 更新)#131816
114年 - 00900 泥水 甲級 工作項目 04:工程進度表製定 1-25(2025/10/07 更新)#131816
科目:
技檢◆泥水-甲級 |
年份:
114年 |
選擇題數:
25 |
申論題數:
0
試卷資訊
所屬科目:
技檢◆泥水-甲級
選擇題 (25)
1. 擬訂施工進度表與下列何者無關 (A)合約工期 (B)施工說明書 (C)施工圖 (D)都市計劃 。
2. 工程進度落後,首先必須 (A)修改工程進度表 (B)增加工人 (C)提早材料進場(D)查核原因 。
3. 工程網圖最大之優點是 (A)簡單易懂 (B)容易計算工作天 (C)節省工料費用(D)各作業間關係明確 。
4. 大規模建築工程中,最容易與施工計劃發生不符者是 (A)基礎工程 (B)裝修工程 (C)磨石子工程 (D)砌磚工程 。
5. 工程進度表,下列何者最早使用於工程界 (A)要徑法 (B)曲線法 (C)計劃評核術 (D)橫線法 。
6. 承攬泥作部份之下包,其工程進度表之製作應參照 (A)自身工作能力及資金調配 (B)工程大小及重要性 (C)業主契約 (D)勞動力資源之分配 。
7. 箭線式網圖,是將作業名稱置於箭線之 (A)上 (B)下 (C)前 (D)後 。
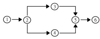
8. 下列網圖中,所需最短工期為
(A)15 天 (B)17 天 (C)19 天 (D)21 天 。
9. 下列網圖中,要徑作業為
(A)A-B-D-F (B)A-B-E-F (C)A-C-D-F(D)A-C-E-F 。
10. 泥水作業施工進度網狀圖,不具下列何種意義? (A)可顯示施工之步驟與日期 (B)可有效控制材料、機具及人工之進場 (C)可有效的配合有關工程及控制施工之進度 (D)可顯示工程之品質優劣 。
11. 工程進度表採用橫線式進度表時不易表示出 (A)各作業之項目名稱 (B)各項作業實際完工日期 (C)各項作業相互間之關係 (D)各項作業所需工期 。
12. 甘特圖(Bar chart)進度表繪製時,通常橫座標顯示 (A)日程 (B)作業名稱 (C)價格 (D)作業順序 。
複選題
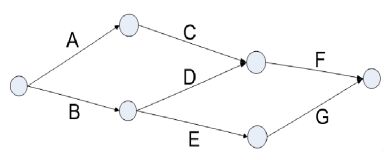
13. 某一泥水作業計劃網圖,如下圖所示,A 工作需 5 天,B 工作需 4 天,C工作需 4 天,D 工作需 7 天,E 工作需 6 天,F 工作需 3 天,G 工作需 3天,下列敘述何者正確﹖
(A)此泥水作業只有一條要徑 (B)最早完成之工作為 B 工作 (C)最後完成之工作為 G 工作 (D)泥水作業完成需 14 天 。
複選題
14. 製作泥作工程進度表,應依據: (A)泥作工程內容及工程期限 (B)協調並配合其他相關工程之施工承商,會同製作工程進度表 (C)因應工程實際進度,自行更改工期 (D)配合工程事實需要,製作趕工計劃書及進度表 。
複選題
15. 有關桿狀施工進度表(Bar Chart Working Schedule)之優點,下列何者敘述正確? (A)繪製簡單 (B)可顯示各作業間之重疊性 (C)可顯示某一工作之延誤(D)適用大型工程之進度管理 。
複選題
16. 有關 PERT 及 CPM 之敘述下列何者正確? (A)PERT 及 CPM 雖以網路圖形為基礎,具明晰作業邏輯觀念,但並無作業先後關係的顯示 (B)要徑法通常假設作業時間可被估計,且時間不會變動(單時估計) (C)計畫評核術一般針對作業項目所需時間的不確定性,以機率觀念加以考慮,計算並評估如期完工的可能性(三時估計) (D)提供時程與成本/資源之整合性規畫管控 。
複選題
17. 下列說明何者錯誤? (A)網圖分析最常用的計畫評核術(PERT)及要徑法(CPM) (B)CPM 網圖為先行式 (C)箭線式網圖簡稱為 PDM (D)網圖中最長的路徑為要徑,不可在此趕工 。
複選題
18. 下列何者不是監工日報表所呈現的內容 (A)起造人、建造人以及承造人 (B)重要施工項目完成數量 (C)出工人數以及使用機具 (D)單項工程造價 。
複選題
19. 以下何項是工地進度控制應有的作為? (A)依工地需求隨機提出採購發包申請 (B)各項工程之施工計畫擬定 (C)每日工程進度提報與異常反應 (D)依據工程進度表管控工程進行 。
複選題
20. 進度管理之工期調整(縮短)方法,以下方式何者為不正確? (A)可逕行改變施工速率較快的工法 (B)不考慮工區大小,增加施工資源數量,加大工作編組,也就是使用更多人員、裝備或設備,以縮短作業的時間 (C)可平行施工之作業盡量重疊施工,可有效縮短工期 (D)訂定趕工計畫,以縮短作業時間 。
複選題
21. 有關網圖作業之表示,下列選項何者為錯誤﹖ (A)
(B)「
」表示作業進行,方向由左到右 (C)
(D)
。
複選題
22. 任何作業可以延遲或有餘裕的時間數量,而不致影響整個工程的完工時限稱為浮時,可分為哪些? (A)總餘裕時間(TF) (B)自由餘裕時間(FF) (C)停損餘裕時間(TT) (D)干擾餘裕時間(IF) 。
複選題
23. 下列何者是屬於一般假設工程之內容? (A)動力、給排水、照明等臨時設備 (B)圍籬門扇、工地事務所、倉庫、員工宿舍 (C)泥水作業 (D)工作架、工作台、施工通道 。
複選題
24. 製作工程網圖規劃可以哪些項目為主導原則? (A)成本 (B)工期 (C)品質 (D)美觀 。
複選題
25. 如下圖所示,箭線式網狀圖上之「虛作業」的敘述,哪些為正確?
(A)表達作業間的關係 (B)作業 A 的後續作業為作業 C 及作業 D (C)作業 B 的後續作業為作業 D (D)作業 D 的先行作業為作業 B 。
申論題 (0)
相關試卷
114年 - 00900 泥水 甲級 工作項目 08:作業相關法令 1-30(2025/10/07 更新)#131824
114年 · #131824
114年 - 00900 泥水 甲級 工作項目 07:自主檢查 1-20(2025/10/07 更新)#131823
114年 · #131823
114年 - 00900 泥水 甲級 工作項目 06:泥水作業 201-226(2025/10/07 更新)#131822
114年 · #131822
114年 - 00900 泥水 甲級 工作項目 06:泥水作業 151-200(2025/10/07 更新)#131821
114年 · #131821
114年 - 00900 泥水 甲級 工作項目 06:泥水作業 101-150(2025/10/07 更新)#131820
114年 · #131820
114年 - 00900 泥水 甲級 工作項目 06:泥水作業 51-100(2025/10/07 更新)#131819
114年 · #131819
114年 - 00900 泥水 甲級 工作項目 06:泥水作業 1-50(2025/10/07 更新)#131818
114年 · #131818
114年 - 00900 泥水 甲級 工作項目 05:工程管理 1-43(2025/10/07 更新)#131817
114年 · #131817
114年 - 00900 泥水 甲級 工作項目 03:訂約 1-38(2025/10/07 更新)#131815
114年 · #131815
114年 - 00900 泥水 甲級 工作項目 02:估價 1-37(2025/10/07 更新)#131814
114年 · #131814