阿摩線上測驗
登入
首頁
>
技檢◆鍋爐操作-甲級
> 114年 - 03100 鍋爐操作 甲級 工作項目 01:鍋爐啟用前之檢點 1-50(2025/10/16 更新)#132320
114年 - 03100 鍋爐操作 甲級 工作項目 01:鍋爐啟用前之檢點 1-50(2025/10/16 更新)#132320
科目:
技檢◆鍋爐操作-甲級 |
年份:
114年 |
選擇題數:
50 |
申論題數:
0
試卷資訊
所屬科目:
技檢◆鍋爐操作-甲級
選擇題 (50)
1. 強制循環式水管鍋爐的水管內之水流的運動,係利用下列何者來促進?(A)水管排列方式 (B)加大燃燒量而發生之旺盛的蒸發速度 (C)給水循環泵的給水驅動力 (D)鍋爐水循環流中之循環泵 。
2. 下列有關連續沖放裝置的說明中,何者是錯誤的? (A)沖放管的外徑應在 80mm 以下 (B)沖放管的裝設位置在胴體之水面附近 (C)沖放管的裝設位置在胴體之底部附近 (D)閃化槽內蒸發的蒸汽被送至脫氣器 。
3. 下列有關過熱器的說明中,何者是錯誤的? (A)可提高飽和蒸汽中的水份溫度 (B)可增加熱效率 (C)比同壓力的飽和蒸汽可獲得保有熱量較多的蒸汽 (D)可減低蒸汽的磨擦阻力 。
4. 下列說明中,何者是正確的? (A)過熱器是為了要節省燃料而設的 (B)高壓高溫鍋爐所產生的蒸汽之過熱度比較高 (C)設有連續沖放裝置之鍋爐免設底部沖放裝置 (D)給水溫度與鍋爐水之溫度差愈小愈好 。
5. 蒸汽管配管時在適當處所應設置 (A)安全閥 (B)減壓閥 (C)祛水器 (D)沖放閥 。
6. 有關鍋爐胴體板之最小厚度限制,下列何項是錯誤的? (A)內徑 900mm以下者為 6mm,但裝設牽條時為 5mm (B)內徑超過 900mm 至 1350mm以下者為 8mm (C)內徑超過 1350mm 至 1850mm 以下者為 10mm (D)內徑超過 1850mm 者為 12mm 。
7. 下列有關傳熱面積計算之說明中,何項是錯誤的? (A)一面接觸燃燒氣體等,另一面接觸水,而在接觸燃燒氣體等之面所測得之面積 (B)水管鍋爐的水管之傳熱面積,係以水管外側接觸燃燒氣體等之面所測得之面積 (C)貫流鍋爐之傳熱面積,係以其水管總長度表面所測得之面積 (D)傳熱面積之單位為平方公尺 。
8. 某一蒸汽鍋爐蒸汽壓力 9kgf/cm
2
(表壓力)每小時產生 3000kg 的飽和蒸汽(乾度 98%),其換算蒸發量是多少?(設:給水溫度 25℃,其他數值參照蒸汽表)
(A)3496kg (B)3545kg (C)3550kg (D)3636kg 。
9. 下列有關傳熱面之說明中,何者錯誤? (A)受到爐內燃燒氣的輻射熱之面叫做輻射傳熱面 (B)與燃燒氣接觸受熱之面叫做接觸傳熱面 (C)在燃燒室爐壁配置水管排之爐壁叫做水冷壁,其水管叫做水牆管 (D)設置水牆管之目的是增加爐壁之強度 。
10. 下列有關碟型端板形狀構成必要條件之說明中,何者是錯誤的? (A)球面殼內半徑 R 不得小於該端板的外徑 D (B)彎緣內半徑 r 必須為該端板厚度之 3 倍以上 (C)彎緣內半徑 r 必須大於 50mm (D)強度計算式中之形狀係數 W 取 1 時,適用於半球體型端板之強度計算 。
11. 設莫利遜波型爐筒最大內徑( D )及最小內徑(d)各為 750mm 及 680mm,設計壓力為 10kgf/cm
2
,試問該爐筒最小厚度 t 應為多少?(參考計算式
,C=985、1100) (A)6.63mm (B)6.82mm (C)6.9mm (D)7.26mm 。
12. 下列有關變壓式蓄熱器之說明中,何者是錯誤的? (A)係設置於鍋爐出口蒸汽系統中 (B)無一定的蒸汽壓力 (C)經常比鍋爐發生之蒸汽壓力為高(D)可適用於短時間之急需大量蒸汽之用 。
13. 下列有關定壓式蓄熱器之說明中,何者是錯誤的? (A)係設置於鍋爐給水系統中 (B)能維持一定的蒸汽壓力 (C)無法在一定的燃燒量增加鍋爐蒸發量 (D)係在低負載時把過剩蒸汽來加熱給水加熱器,再把高溫給水蓄存起來以備過負載時將蓄存的高溫水供給鍋爐 。
14. 下列有關補強的說明中,何者是正確的? (A)牽管是為了加強煙管強度而設的 (B)斜牽板是為了加強胴體強度而設的 (C)螺栓牽條是為了加強螺栓孔的強度而設的 (D)長度 200mm 以內之螺栓牽條外側端必須開設直徑5mm 以上板內側長度 13mm 以上的報知孔 。
15. 有關胴體板規定「至少應具備之厚度」之理由中,下列何者是錯誤的?(A)把因腐蝕致強度減低之情形控制於最低限度 (B)增加其內容物重量所引起之應力 (C)裝設牽條時可緩和其牽住力傳達引起之影響 (D)維持水管鍋爐胴體管板裝設水管處之擴管效果 。
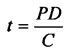
16. 依陸用鋼製鍋爐國家標準之規定,胴體板最小厚度得以下列公式計算
,請問下列說明中,何者是錯誤的? (A)P:鍋爐最高使用壓力 (B)D
i
:鍋爐胴體內徑 (C)σ
a
:鋼板之抗拉強度 (D)α:腐蝕裕度 。
17. 有關鍋爐點火前的點檢及準備作業說明中,下列何項是錯誤的? (A)水位計的水位高時,進行排水調整至常用水位 (B)運轉前排洩閥試操作,檢查其機能是否正常 (C)汽鼓排氣閥,在蒸汽產生前都應該打開 (D)通風力過大時,火焰會被吹熄,所以點火前不可打開節氣閘 。
18. 中高面受壓而無牽條牽住之碟型端板最高使用壓力,為該端板視同中低面受壓時之計算強度之幾倍? (A)1.5 倍 (B)1 倍 (C)0.6 倍 (D)0.5 倍 。
19. 蒸汽壓力 45kgf/cm
2
,每小時蒸發量 60ton 之水管鍋爐的汽水鼓蒸汽部容積,需要多大?(參考:45kgf/cm
2
的乾飽和蒸汽之比容積=0.044m
3
/kg,蒸汽部之蒸汽室負載=600m
3
/m3h) (A)2.2m
3
(B)4.4m
3
(C)6m
3
(D)6.6m
3
。
20. 下列何項不是三元式給水控制之要素? (A)水位 (B)蒸汽壓力 (C)蒸汽流量(D)給水流量 。
21. 二元式給水控制係檢測那兩個要素? (A)蒸汽流量與給水流量 (B)水位與給水流量 (C)水位與蒸汽流量 (D)蒸汽流量與控制閥開度 。
22. 水管式鍋爐,其壓力超過 35kgf/cm
2
時,鍋爐給水之 pH 值應控制於 (A)3~5 (B)6~7 (C)8~9.5 (D)11~13 。
23. 德國硬度 1 度換算為碳酸鈣硬度時,應為若干 ppm? (A)0.178 (B)1.78(C)17.8 (D)178 。
24. 一般低壓鍋爐爐水 pH 值(25℃)應在下列那一範圍較適宜? (A)7.0~8.0(B)8.0~9.0 (C)11.0~11.8 (D)12.0~12.9 。
25. 水中含 10ppb CaCO
3
時,表示 1 噸水中含有多少毫克之該物質? (A)0.1(B)1 (C)10 (D)100 。
26. 有關熱及蒸汽的說明中,下列何項是錯誤的? (A)熱傳導率者,如果固體表面的狀態、流動的狀態,及溫度一定時,無論流體的種類,則為一定 (B)一般來說,質量 1Kg 的水溫度上升 1℃所需的熱量為4.187KJ(1Kcal) (C)水的蒸發熱,當壓力愈高時愈小 (D)比熱小的物體,以同等熱量加熱時,比比熱大的物體,溫升較多 。
27. 以亞硫酸鈉去除水中溶存之氧時,設水中含氧 1ppm,則每 1 噸水需用亞硫酸鈉多少公克?(原子量:Na=23,S=32,O=16) (A)0.8 (B)3.94 (C)6.33 (D)7.88 。
28. 鍋爐每小時蒸發量為 100 噸,給水中溶解固體物濃度 20ppm,若鍋爐水之溶解固體物濃度欲維持於 520ppm,試問每小時之沖放量應為若干?[=a/(b-a)x100%] (A)1 噸 (B)2 噸 (C)3 噸 (D)4 噸 。
29. 低壓鍋爐水質處理時,使用之軟化劑為 (A)氯化鈉 (B)氯化鈣 (C)磷酸鈉(D)碳酸鈉 。
30. 氣曝法可除去水中何種不純物 (A)銅 (B)鐵 (C)鋁 (D)鉛 。
31. 有關鍋爐水被濃縮後之害處的說明中,下列何項是錯誤的? (A)容易發生汽水共騰或起泡 (B)水垢的附著量會增加,易引起鍋爐爐管的過熱 (C)易引起苛性脆化 (D)阻礙鍋爐內的水循環 。
32. 陰離子交換樹脂之再生要用: (A)鹽酸 (B)硫酸 (C)碳酸鈣 (D)氫氧化鈉 。
33. 脫鹼軟化法是用下列那一型之離子交換樹脂? (A)H 型 (B)OH 型 (C)Na 型(D)Cl 型 。
34. 重力式砂濾機主要用以去除水中之 (A)二價鐵 (B)硬度 (C)矽酸鹽 (D)懸浮雜質、砂石 。
35. 軟水使用鉻墨(EBT)硬度指示劑檢驗,無硬度成份時水色呈現 (A)藍色(B)紫色 (C)紅色 (D)無色 。
36. 蒸汽冷凝回收水有腐蝕鐵份時,應添加 (A)復水處理劑 (B)脫氧劑 (C)清鍋劑 (D)鹼度抑制劑 。
37. 下列有關自動控制裝置的低水位警報及低水位遮斷檢查方法之說明中,那一項是不當的? (A)起動前檢點其性能 (B)在鍋爐正常運轉中,利用底部沖放裝置,徐徐降低水位試驗 (C)先停止鍋爐運轉,再慢慢降低水位試驗 (D)確認低水位遮斷器作用時,燃料閥會關閉 。
38. 用離子交換法製造純水,其採用之型式為 (A)複床式(二床三槽式) (B)H型與鹼中和 (C)H 型 (D)Na 型與 Cl 型 。
39. 純水中溶入酸液,氫離子濃度增加 10 倍,此時 pH 值應為若干? (A)6.0(B)6.9 (C)7.1 (D)8.0 。
40. 熱媒鍋爐使用熱媒油之最大特點為 (A)粘度小,阻力小 (B)與同溫度水蒸汽比較,其蒸汽壓力低 (C)物性穩定,不易變質 (D)熱傳導率大 。
41. 熱媒鍋爐通常於溫度幾度以下時為延緩劣化,採用礦物系熱媒油? (A)260℃ (B)290℃ (C)320℃ (D)350℃ 。
42. 熱媒鍋爐通常於下列溫度以下時為延緩劣化,採用合成油系熱媒油?(A)370℃ (B)420℃ (C)430℃ (D)460℃ 。
43. 熱媒油在高溫時發生何種現象,而導致產生低沸點物? (A)粘度降低 (B)熱傳導率變小 (C)比熱值變小 (D)熱分解 。
44. 下列何項原因會導致熱媒鍋爐循環泵發生氣囊現象? (A)熱媒油進出口溫差過大 (B)熱媒油在管內流速過大 (C)熱媒油高溫熱分解 (D)循環泵轉速因故降低 。
45. 熱媒鍋爐所使用之熱媒油為求能長時間使用而不致劣化,一般最高薄膜溫度高於該熱媒的最高使用溫度,下列何者較不適宜? (A)0~5℃ (B)10~15℃ (C)20~25℃ (D)30~35℃ 。
46. 熱媒鍋爐循環泵之功能為 (A)避免鍋爐本體過熱,造成材質脆化破壞 (B)維持熱媒油能順利流動 (C)提供熱媒鍋爐燃燒所需之燃料油 (D)防止熱媒油滯留後,黏度增大,流動性變差 。
47. 為防止熱媒鍋爐熱媒油高溫氧化重合現象,操作時一般在膨脹槽內輸入何種氣體? (A)氫氣 (B)一氧化碳 (C)二氧化碳 (D)氮氣 。
48. 鍋爐給水泵應具備之性能中,下列何項敘述是不正確的? (A)能耐高溫、高壓 (B)能應付負載變動 (C)吸入側水頭壓力需低 (D)低負載時亦能保持良好效率 。
49. 迴轉式給水泵起動前 (A)引水管內需滿水 (B)引水管內不得充水 (C)出口側管閥應開啟 (D)入口側管閥應關閉 。
50. 當鍋爐蒸汽壓力為 10kgf/cm
2
時,其附屬之衛氏(Worthington)往復式給水泵蒸汽側活塞直徑為 10cm,水側活塞直徑為 7cm,此時給水壓力約為多少 kgf/cm
2
? (A)13 (B)14 (C)18 (D)20 。
申論題 (0)
相關試卷
114年 - 03100 鍋爐操作 甲級 工作項目 07:安全衛生與環保 51-94(2025/10/16 更新)#132334
114年 · #132334
114年 - 03100 鍋爐操作 甲級 工作項目 07:安全衛生與環保 1-50(2025/10/16 更新)#132333
114年 · #132333
114年 - 03100 鍋爐操作 甲級 工作項目 06:停止運轉操作 1-30(2025/10/16 更新)#132332
114年 · #132332
114年 - 03100 鍋爐操作 甲級 工作項目 05:異狀處理 51-108(2025/10/16 更新)#132330
114年 · #132330
114年 - 03100 鍋爐操作 甲級 工作項目 05:異狀處理 1-50(2025/10/16 更新)#132329
114年 · #132329
114年 - 03100 鍋爐操作 甲級 工作項目 04:正常運轉操作 51-73(2025/10/16 更新)#132328
114年 · #132328
114年 - 03100 鍋爐操作 甲級 工作項目 04:正常運轉操作 1-50(2025/10/16 更新)#132327
114年 · #132327
114年 - 03100 鍋爐操作 甲級 工作項目 03:升壓操作 1-39(2025/10/16 更新)#132326
114年 · #132326
114年 - 03100 鍋爐操作 甲級 工作項目 02:啟動點火 1-37(2025/10/16 更新)#132325
114年 · #132325
114年 - 03100 鍋爐操作 甲級 工作項目 01:鍋爐啟用前之檢點 201-224(2025/10/16 更新)#132324
114年 · #132324