阿摩線上測驗
登入
首頁
>
技檢◆測量-丙級
> 114年 - 04200 測量 丙級 工作項目 04:角度測量(含光學式、電子式經緯儀) 1-50(2025/10/27 更新)#132626
114年 - 04200 測量 丙級 工作項目 04:角度測量(含光學式、電子式經緯儀) 1-50(2025/10/27 更新)#132626
科目:
技檢◆測量-丙級 |
年份:
114年 |
選擇題數:
50 |
申論題數:
0
試卷資訊
所屬科目:
技檢◆測量-丙級
選擇題 (50)
1. 設度盤最小格為 20',游標共刻有 40 格,則其最小讀數為 (A)20" (B)30" (C)40" (D)60" 。
2. 如果觀測三測回,則每一測回開始時,水平角度盤應分別對 (A)0°、60°、120° (B)0°、45°、90° (C)0°、90°、180° (D)0°、120°、240° 。
3. 經緯儀定平用之踵定螺旋共有 (A)1 個 (B)3 個 (C)5 個 (D)7 個 。
4. 經緯儀望遠鏡之縱轉就是望遠鏡繞______ (或稱橫軸) 之迴轉。(A)視準軸 (B)直立軸 (C)水準軸 (D)水平軸
5. 一方向線之方位角與其反方位角相差 (A)45° (B)90° (C)180° (D)270° 。
6. 在一點設站用經緯儀觀測數個方向之水平角時,最便捷之觀測方法為 (A)複測法 (B)內角法 (C)外角法 (D)方向觀測法 。
7. 在導線點觀測水平角時,測讀一測線之延長線與次一測線之夾角稱為 (A)內角 (B)外角 (C)偏角 (D)方位角 。
8. 能直接顯示觀測之水平角、垂直角、平距、斜距等數值,且能自動記錄者為 (A)光學經緯儀 (B)複測經緯儀 (C)羅盤經緯儀 (D)電子測距經緯儀(全測站儀) 。
9. 方位角 300°改為方向角為 (A)W30°N (B)N120°W (C)S120°N (D)N60°W 。
10. 利用望遠鏡正倒鏡觀測水平角度可消除儀器 (A)水準軸誤差 (B)直立軸誤差(C)度盤刻劃不均勻誤差 (D)視準軸偏心誤差 。
11. 光學垂準器(對點器)之用途是 (A)定心 (B)定平 (C)量儀器高 (D)讀定度盤 。
12. 精度較高之經緯儀其度盤讀數設備多採用 (A)游標 (B)光學分微尺 (C)單線放大鏡 (D)光學測微器 。
13. 用經緯儀正鏡觀測某點天頂距讀數為 92°34'10",倒鏡讀數為 267°25'40",則其垂直角為 (A)仰角 2°34'10" (B)仰角 2°34'15" (C)俯角 2°34'10" (D)俯角 2°34'15" 。
14. 在 A 點整置經緯儀觀測水平角,依次照準 B、C、D 點,其度盤讀數分別為:0°0'10"、15°21'03"、51°17'20",則∠CAD 之水平角為 (A)15°20'53" (B)35°56'17" (C)51°17'10" (D)66°38'23" 。
15. 用經緯儀觀測水平角,雖採行正倒鏡觀測讀數之中數,仍不能消除 (A)視準軸誤差 (B)水平軸誤差 (C)直立軸誤差 (D)視準軸偏心差 。
16. 經緯儀懸吊垂球之線,應與 ______成一直線。(A)直立軸 (B)視準軸 (C)水平軸 (D)水準軸
17. 在 A 點向 B 點實施三角高程測量,A 點之儀器高為 i,AB 之水平距離為D,B 點之覘標高為 Z,觀測之垂直角為α,則 AB 兩點之高程差為 (A)D.tanα+i+Z (B)D.tanα+i-Z (C)D.tanα-i-Z (D)D.tanα-i+Z 。
18. 在我國計算某一測線之方位角,一般係自子午線之______端為零度起算,順時針方向量至該測線之角度。(A)東 (B)西 (C)南 (D)北
19. 用經緯儀觀測角度,導致直立軸不正直之原因為 (A)儀器構造誤差 (B)定平不實誤差 (C)觀測誤差 (D)自動現象誤差 。
20. 普通經緯儀之水平度盤裝有二個游標,二游標之零線(指標線)相距為 (A)45 度 (B)90 度 (C)180 度 (D)270 度 。
21. 天頂水準器(指標水準器)為測量下列何者之基準? (A)水平角 (B)垂直角 (C)方位角 (D)視距測量 。
22. 經緯儀過望遠鏡十字絲中心與物鏡光學中心之連線,稱為 (A)橫軸 (B)直立軸 (C)視準軸 (D)水準軸 。
23. 使經緯儀中心與地面測站中心一致,是為 (A)定平 (B)定心 (C)對焦 (D)定平與對焦 。
24. 為減少因度盤分劃刻製不勻之誤差,通常於水平角觀測時 (A)正倒鏡取平均(B)二游標讀數取平均值 (C)在零方向(原方向)變換度盤位置,測 n 組取平均(D)增加測回數取平均值 。
25. 整置經緯儀時,已大約定心定平後,再逐步修正 (A)定心後再定平 (B)定平後再定心 (C)定心即可 (D)定平即可 。
26. 游標 60 格等於度盤 59 格,游標最小讀數為 20",則度盤一格應為 (A)10'(B)20' (C)30' (D)40' 。
27. 三角高程測量時,為測算未知點高程且能自動改正地球曲率及折光差,可採用何種方法觀測垂直角? (A)偏角法 (B)方向觀測法 (C)對向觀測法 (D)反覘觀測法 。
28. 使用天頂距式垂直度盤經緯儀,測得正鏡讀數為 92°35'40",倒鏡讀數為267°24'30",則垂直角(俯仰角)為 (A)2°35'35" (B)-2°30'40" (C)-2°35'35" (D)2°30'40" 。
29. 經緯儀望遠鏡正倒鏡之水平角讀數之差應為 (A)0° (B)90° (C)180° (D)270° 。
30. 以經緯儀測得某一方向之俯角為 10°,則其天頂距為 (A)80° (B)100° (C)110°(D)120° 。
31. 設直線 AB 之磁方向角讀數為 N30°E,當時之磁偏角是 2°W,若數年後該地區之磁偏角是 1°E,則直線 AB 之磁方向角讀數為 (A)N27°E (B)N29°E (C)N31°E (D)N33°E 。
32. 複測經緯儀又名 (A)方向經緯儀 (B)光學經緯儀 (C)雙軸經緯儀 (D)單軸經緯儀 。
33. 水平度盤之周邊刻有 0°至 360°,此圓盤稱為 (A)下盤 (B)上盤 (C)中盤 (D)內盤 。
34. 望遠鏡已經大約照準目標後,欲精確照準目標之步驟為: (A)調整目鏡調焦螺旋→調整物鏡調焦螺旋→標定方向 (B)調整物鏡調焦螺旋→調整目鏡調焦螺旋→標定方向 (C)標定方向→調整物鏡調焦螺旋→調整目鏡調焦螺旋 (D)調整目鏡調焦螺旋→標定方向→調整物鏡調焦螺旋 。
35. 經緯儀之視準軸與水平軸不垂直時,可以二次縱轉法校正之,其改正量為誤差的 (A)1/2 (B)1/3 (C)1/4 (D)1/5 。
36. 方位角 260°改為方向角為 (A)N60°E (B)S30°E (C)S80°E (D)S80°W 。
37. 方位角 222°,其反方位角為 (A)132° (B)310° (C)42° (D)222° 。
38. 以經緯儀測得某一方向之天頂距為 100°,則其垂直角(俯仰角)為 (A)-10°(B)+10° (C)-80° (D)+80° 。
39. 游標一分劃較主尺之一分劃短者,稱為 (A)順讀游標 (B)逆讀游標 (C)複游標(D)單游標 。
40. 以主尺(N-1)格之長在游標上等分為 N 格,稱為 (A)順讀游標 (B)逆讀游標 (C)單游標 (D)複游標 。
41. 經緯儀之下盤不能隨照準架旋轉者為 (A)複測經緯儀 (B)游標經緯儀 (C)羅盤經緯儀 (D)方向經緯儀 。
42. 自望遠鏡中觀測遠方一目標,其經過十字絲交點及物鏡主點之連線,稱為(A)水平軸 (B)水準軸 (C)直立軸 (D)視準軸 。
43. 下列角度記簿何者正確? (A)135°5'5" (B)135°5'05" (C)135°05'05" (D)135°05'5" 。
44. 使用經緯儀觀測時,常以望遠鏡之正鏡位置及倒鏡觀測,此種操作名為 (A)橫轉 (B)縱轉 (C)二次縱轉 (D)前視 。
45. 經緯儀之水準軸與直立軸是否垂直之檢校方法,稱為 (A)半半校正法 (B)一次反轉法 (C)二次反轉法 (D)木樁校正法 。
46. 若兩方向角為 S30°40'W,S50°55'W,則其夾角為 (A)20°15' (B)80°05' (C)20°25' (D)40°42'25" 。
47. 沿磁子午線起算之方位角稱為 (A)真方位角 (B)磁方位角 (C)真方向角 (D)磁方向角 。
48. AB 方向的磁方位角讀數為 89°,真方向角為 S89°E,則磁偏角為 (A)偏東 1°(B)偏西 1° (C)偏東 2° (D)偏西 2° 。
49. 經緯儀四軸分別為直立軸 V、水平軸 H、水準軸 L 和視準軸 Z,施行校正時,應先使 (A)H⊥V (B)Z⊥L (C)L⊥V (D)Z//H 。
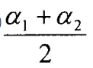
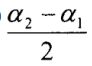
50. 觀測垂直角(俯仰角)時,儀器為象限式度盤,α1表正鏡測得之垂直角,α
2
表倒鏡測得之垂直角,若此儀器垂直度盤有指標差,則等於______之絕對值。 (A)
(B)α
1
+α
2
(C)α
2
+α
1
(D)
申論題 (0)
相關試卷
114年 - 04200 測量 丙級 工作項目 08:測量基本準則 1-31(2025/10/27 更新)#132634
114年 · #132634
114年 - 04200 測量 丙級 工作項目 07:儀器之一般保養與維護 1-36(2025/10/27 更新)#132633
114年 · #132633
114年 - 04200 測量 丙級 工作項目 06:埋石設標 1-20(2025/10/27 更新)#132632
114年 · #132632
114年 - 04200 測量 丙級 工作項目 05:基本繪圖 51-71(2025/10/27 更新)#132631
114年 · #132631
114年 - 04200 測量 丙級 工作項目 05:基本繪圖 1-50(2025/10/27 更新)#132630
114年 · #132630
114年 - 04200 測量 丙級 工作項目 04:角度測量(含光學式、電子式經緯儀) 151-178(2025/10/27 更新)#132629
114年 · #132629
114年 - 04200 測量 丙級 工作項目 04:角度測量(含光學式、電子式經緯儀) 101-150(2025/10/27 更新)#132628
114年 · #132628
114年 - 04200 測量 丙級 工作項目 04:角度測量(含光學式、電子式經緯儀) 51-100(2025/10/27 更新)#132627
114年 · #132627
114年 - 04200 測量 丙級 工作項目 03:高程測量 101-162(2025/10/27 更新)#132625
114年 · #132625
114年 - 04200 測量 丙級 工作項目 03:高程測量 51-100(2025/10/27 更新)#132624
114年 · #132624