阿摩線上測驗
登入
首頁
>
技檢◆陶瓷-石膏模-丙級
> 114年 - 05400 陶瓷─石膏模 丙級 工作項目 01:石膏漿之調製 1-50(2025/10/31 更新)#132836
114年 - 05400 陶瓷─石膏模 丙級 工作項目 01:石膏漿之調製 1-50(2025/10/31 更新)#132836
科目:
技檢◆陶瓷-石膏模-丙級 |
年份:
114年 |
選擇題數:
50 |
申論題數:
0
試卷資訊
所屬科目:
技檢◆陶瓷-石膏模-丙級
選擇題 (50)
1. 注漿用石膏模的石膏與水的比率約為 (A)石膏 100:水 40 (B)石膏 100:水50 (C)石膏 100:水 70 (D)石膏 100:水 100 。
2. 正常攪拌 3 分鐘的石膏漿凝結開始時間約為: (A)30 分鐘 (B)25 分鐘 (C)20分鐘 (D)12 分鐘 。
3. 石膏石經煅燒而成為熟石膏,其中變化為: (A)化學變化 (B)物理變化 (C)礦物變化 (D)原子分裂變化 。
4. 用正常石膏漿的凝結開始後最高的發熱溫度是 (A)38~41℃ (B)35~37℃ (C)30~34℃ (D)30℃以下 。
5. 正常石膏漿凝結期間是: (A)稍有收縮現象 (B)不會收縮、也不會膨脹 (C)稍有膨脹現象 (D)最少有 2%的膨脹 。
6. 製石膏模用的石膏粉俗稱: (A)生石膏 (B)熟石膏 (C)滑石膏 (D)雪花石膏 。
7. 用真空攪拌機作石膏漿主要功能是因: (A)省下人工費用 (B)節省原料 (C)抽除氣泡 (D)省下勞力 。
8. 所謂熟石膏所含結晶水分是 (A)6%左右 (B)10%左右 (C)14%左右 (D)18%左右 。(原子量:Ca=40,S=32,O=16,H=1)
9. 天然產石膏石含結晶水量是 (A)10%左右 (B)15%左右 (C)21%左右 (D)25%左右 。(原子量:Ca=40,S=32,O=16,H=1)
10. 測定石膏粉的混合水量(%)計算法是: (A)100g(水重)/試樣重量(g)×100 (B)100g(水重)/試樣重量(g) (C)試樣重量(g)/100g(水重) (D)試樣重量(g)/100g(水重)×100 。
11. 石膏模工作房中所用之計量器具必須: (A)時常換新 (B)定期校正 (C)經常曝晒 (D)僅換新砝碼 。
12. 石膏粉應 (A)撒在水內 (B)傾倒至水內 (C)分批傾倒至水內 (D)各次少量傾倒至水內 。
13. 混合水量與製成石膏模壽命: (A)無關係 (B)甚有關係 (C)關係不大 (D)水量多少都可 。
14. 熟石膏的品種等級與製成的工作模性質 (A)無關係 (B)有影響 (C)影響不大 (D)各種品種等級都可用 。
15. 熟石膏的化學組成對於製成工作模壽命: (A)無關係 (B)有影響 (C)影響不大(D)各種化學組成都可用 。
16. 石膏粉加入水後,應: (A)根據觀察 (B)計算浸漬時間 (C)根據臆測 (D)等混合物起化學變化 後,再予攪拌。
17. 調配石膏漿時,攪拌時間之長短 (A)不重要 (B)很重要 (C)影響石膏漿混水量(D)不影響調漿之工作 。
18. 石膏粉與水的比例不同,所製成之工作模之吸水率: (A)相同 (B)不同 (C)不能比較 (D)與模型品質無關 。
19. 石膏漿加速凝固時,會使 (A)工作時間較省 (B)易於變形或龜裂 (C)增進模面光滑 (D)模型易於風化 。
20. 石膏漿攪拌時間愈長,凝結: (A)愈慢 (B)愈快 (C)強度低 (D)吸水性良好 。
21. 要使石膏漿慢慢凝結時: (A)使用石灰水即可 (B)使用硫酸即可 (C)使用水玻璃(矽酸鈉)即可 (D)使用鹽酸即可 。
22. 調製石膏漿的攪拌葉材質最好是 (A)紙 (B)石質 (C)木質 (D)不銹鋼 。
23. 製模用石膏粉之品質主要條件為 (A)純度 (B)黏性 (C)可塑性 (D)耐火性 。
24. 陶瓷廠大量生產時,調製石膏漿須採用 (A)球磨機 (B)分批用手拌 (C)離心攪拌機 (D)真空攪拌機 。
25. 石膏漿的作法是: (A)石膏粉放入容器再加水然後攪拌 (B)石膏粉與水同時倒入容器後攪拌 (C)容器裝水再將石膏粉撒下後馬上攪拌 (D)容器裝水,再將石膏粉撒下後,經過 2~4 分鐘後攪拌 。
26. 一般石膏漿用水的溫度是 (A)10℃左右 (B)20℃左右 (C)30℃左右 (D)40℃左右 。
27. 工作模損壞後的廢石膏最好 (A)磨細再用 (B)磨細後摻用 (C)重行煆燒後再用(D)不能再用製模 。
28. 石膏粉的最大溶解量是在下列何種溫度之間 (A)5~10℃ (B)11~15℃ (C)20~35℃ (D)40~45℃ 。
29. 調製石膏漿時須等石膏粉在水中浸漬完成方可開始攪拌,否則 (A)不凝結(B)凝結太慢 (C)凝結強度增加 (D)製成石膏模產生針孔 。
30. 調製石膏漿時石膏浸漬太久會 (A)不凝結 (B)凝結太慢 (C)加速固化時間而使石膏漿太早變硬 (D)凝結強度不好 。
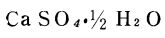
31. 已製成石膏模的石膏化學式是 (A)
(B)
(C)
(D)
。
32. 石膏粉之好壞決定於 (A)白度 (B)耐火度 (C)比重 (D)凝結效果 。
33. 陶瓷工業石膏模用的熟石膏的凝結開始至完成時間為 (A)10~20 分鐘間 (B)31~50 分鐘間 (C)21~30 分鐘間 (D)51~60 分鐘間 。
34. 石膏漿的稠度決定於 (A)石膏品質之好壞 (B)攪拌時間的長短 (C)石膏粉與水之比例 (D)浸漬時間之長短 。
35. 調製石膏漿時所用之水通常超過化學式之需要量甚多,其目的是 (A)加速凝結 (B)節省石膏 (C)增加製模強度 (D)得到石膏漿適當的流動性 。
36. 各種製坯方法所用的石膏模,其吸水率 (A)相同 (B)各不相同 (C)不重要 (D)差不多 。
37. 每 100 公斤熟石膏生成二水石膏(
)需要水 (A)18.6 公斤 (B)22 公斤 (C)25 公斤 (D)30 公斤 。(原子量:Ca=40,S=32,O=16,H=1)
38. 調製石膏漿時為求縮短固化時間最好的方法是 (A)增加浸漬時間 (B)增加攪拌時間 (C)增加石膏量 (D)增加水量 。
39. 熟石膏的結晶構造有 (A)3 種 (B)4 種 (C)2 種 (D)6 種 。
40. 調製石膏漿所用水量可在標準混水量值: (A)±5%範圍內 (B)±10%範圍內(C)±15%範圍內 (D)±20%範圍內 。
41. 水溫及室溫低時,石膏漿凝結時間 (A)較快 (B)較慢 (C)無影響 (D)無顯著變動 。
42. 工作模內部表面上有凹凸現象,係由於石膏漿: (A)混合均勻 (B)太稀 (C)攪拌時間不當 (D)攪拌時有氣泡 。
43. 石膏漿的容器,用後須: (A)用肥皂水泡浸 (B)立即清洗 (C)待餘漿乾後刮洗(D)繼續使用調漿 。
44. 攪拌石膏漿的攪棒,其材料最好是 (A)木質 (B)鐵質 (C)銅質 (D)石質 。
45. 一般石膏漿凝結較慢時: (A)不能用 (B)強度減弱 (C)黏性減少 (D)黏性消失 。
46. 何種模型所用之石膏漿最稀? (A)注漿模 (B)轆轤模 (C)母模 (D)壓製模 。
47. 袋裝石膏粉如堆疊置放,取用順序應 (A)自上至下 (B)自下至上 (C)任意取用(D)依進庫日期先後 。
48. 母模與工作模所用之石膏粉品質下列何者正確? (A)不拘 (B)工作模用質佳者,母模用質差者 (C)均用質佳者 (D)用品質較次者 。
49. 直接影響工作模氣泡的最重要因素為 (A)混水量 (B)熟石膏之撒播方法 (C)靜置 (D)攪拌時間和速度 。
50. 調製石膏漿最理想的水是 (A)硬質水 (B)河川水 (C)海水 (D)飲用水 。
申論題 (0)
相關試卷
114年 - 05400 陶瓷─石膏模 丙級 工作項目 03:工作模之保養 51-89(2025/10/31 更新)#132845
114年 · #132845
114年 - 05400 陶瓷─石膏模 丙級 工作項目 03:工作模之保養 1-50(2025/10/31 更新)#132844
114年 · #132844
114年 - 05400 陶瓷─石膏模 丙級 工作項目 02:複雜工作模之翻製 101-145(2025/10/31 更新)#132843
114年 · #132843
114年 - 05400 陶瓷─石膏模 丙級 工作項目 02:複雜工作模之翻製 51-100(2025/10/31 更新)#132842
114年 · #132842
114年 - 05400 陶瓷─石膏模 丙級 工作項目 02:複雜工作模之翻製 1-50(2025/10/31 更新)#132841
114年 · #132841
114年 - 05400 陶瓷─石膏模 丙級 工作項目 01:石膏漿之調製 201-223(2025/10/31 更新)#132840
114年 · #132840
114年 - 05400 陶瓷─石膏模 丙級 工作項目 01:石膏漿之調製 151-200(2025/10/31 更新)#132839
114年 · #132839
114年 - 05400 陶瓷─石膏模 丙級 工作項目 01:石膏漿之調製 101-150(2025/10/31 更新)#132838
114年 · #132838
114年 - 05400 陶瓷─石膏模 丙級 工作項目 01:石膏漿之調製 51-100(2025/10/31 更新)#132837
114年 · #132837
106年 - 106 在校生(工業類)丙級專案檢定學科:05400陶瓷─石膏模#84544
106年 · #84544