所屬科目:技檢◆氣壓-乙級
(A)1.1 (B)1.6 (C)4.5 (D)22.3
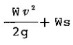
(A)150 (B)300 (C)750 (D)1471.5 。
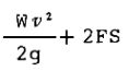
(A)20.41 (B)14.28 (C)9.18 (D)26.12 。
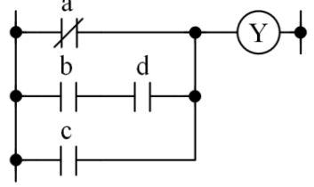
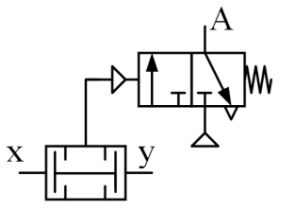
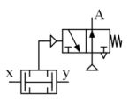
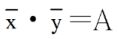
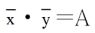
(A)x+y=A (B)x‧y=A (C)(D) 。
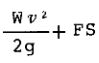
_______ 牛頓(N)。
(A)36 (B)58 (C)67 (D)82
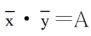
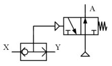
(A)(B)(C)(D) 。
(A) (B) (C)(D) 。
(A)(B)(C)(D)。
(A) (B) (C) (D)。
(A) (B)(C)(D) 。
(A)2S (B)3L (C)L+(L+S/2) (D)L+S 。
(A) (B) (C) (D) 。
(A)4.5 (B)5.3 (C)6 (D)6.7
(A)4.6 (B)5.4 (C)6 (D)6.7
(A)3 (B)4 (C)5 (D)6 。
(A)3.18 (B)4 (C)5.73 (D)6.36
(A)1.62 (B)1.89 (C)2.56 (D)3.26 。
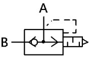
(A) (B)(C) (D) 。