所屬科目:技檢◆電腦硬體裝修-丙級
1. CD Title 是指 (A)CD ROM 光碟機 (B)空白光碟片 (C)有資料之光碟片 (D)DVD 光碟機。
2. 下列何種方法無法減少二氧化碳? (A)想吃多少儘量點,剩下可當廚餘回收 (B)自備杯筷,減少免洗用具垃圾量 (C)多吃蔬 菜,少吃肉 (D)選購當地、當季食材,減少運輸碳足跡。
3. 下列哪一種儀器可用來檢查,網路路由器(Router)之故障? (A)Time Domain Reflectometer (B)Cable Scanner (C)三用電表 (D)Network Protocol Analyzer。
4. 下列串列式傳送資料的敘述,何者正確? (A)遠距離傳送資料時,串列式成本比平行式高 (B)應用開始控制位元和停止控 制位元不同狀態之變化,以區分兩筆資料 (C)資料傳送速率單位為 Byte (D)同一個時脈傳輸所有位元。
5. 在電腦系統中,有一部分控制基本的輸入/輸出工作,它被製成積體電路,稱為 (A)LAN (B)BIOS (C)OCR (D)CRT。
6. 下列何者為選用防塵口罩時,最不重要之考量因素? (A)視野愈小愈好 (B)捕集效率愈高愈好 (C)吸氣阻抗愈低愈好 (D)重 量愈輕愈好。
7. 若個人電腦與印表機之間資料傳送採 Centronics 介面方式,則二者間需使用幾條資料線? (A)8 (B)2 (C)16 (D)1。
8. 維護系統登錄檔需使用下列何者工具程式? (A)Regedit (B)Edit (C)Wordpad (D)Explorer。
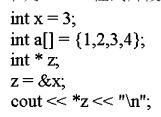
9. 下列 C/C++程式片段,若 x = 2,則 y 值為何?
(A)3 (B)9 (C)2 (D)7。
10. 下列何者不是合法的 IP 位址? (A)120.80.40.20 (B)192.83.166.5 (C)140.92.1.50 (D)258.128.33.24。
11. 有關電腦病毒傳播方式,下列何者正確? (A)病毒無法透過即時通訊軟體傳遞 (B)不隨意安裝來路不明的軟體,以降低感 染電腦病毒的風險 (C)病毒不會透過電子郵件傳送 (D)只要電腦有安裝防毒軟體,就不會感染電腦病毒。
12. TIA/EIA 568B 第 4 對絞線顏色為下列何者? (A)白藍、藍 (B)白綠、綠 (C)白棕、棕 (D)白橙、橙。
13. 設計一個 1X4 解多工器,若全部使用 1X2 解多工器且不外加其他零件之條件,則至少需使用幾個 1X2 解多工器組成? (A)5 (B)3 (C)9 (D)7。
14. 下列何者為 DHCP 伺服器之功能? (A)提供網頁連結的服務 (B)提供檔案傳輸的服務 (C)提供網路資料庫的管理功能 (D)動 態的分配 IP 給使用者使用。
15. 通常感染磁片的啟動磁區之病毒為 (A)常駐型病毒 (B)感染型病毒 (C)檔案型病毒 (D)開機型病毒。
16. 可規劃週邊界面 PPI(Programmable Peripheral Interface)i8255A IC,控制暫存器(Control Register)內容為 10000010,則 I/O 模式(Mode)設定為 Mode=0,此時 Port-B 為 (A)不一定 (B)輸出入埠 (C)輸入埠 (D)輸出埠。
17. 若需要辨別電晶體的 C、B、E 接腳,使用指針型三用電表時,需將電表切換至 (A)DC 檔 (B)歐姆檔 (C)AC 檔 (D)電流檔。
18. 十進位數 1234 的最小有效數(LSD)為下列何者? (A)4 (B)2 (C)1 (D)3。
19. 網際網路防火牆之主要功能為下列何者? (A)可以增加商品能見度 (B)可以加快瀏覽網頁速度 (C)可以有效隔離網路攻擊, 以保護客戶資料 (D)可以有效隔離電腦機房起火,降低損失。
20. 某網路卡的 IP 位址與網路遮罩分別為 172.16.0.24 及 255.255.0.0,下列何者是網路卡的網路位址? (A)127.0.0.1 (B)172.16.0.0 (C)255.255.0.24 (D)255.255.255.255。
21. 具有 n 個正反器之序向邏輯電路,最多可以具有幾種狀態(State)? (A)2 的 n 次方 (B)2 的 n+1 次方 (C)n (D)2n。
22. 加密技術「不能」提供下列何種安全服務? (A)完整性 (B)可用性 (C)機密性 (D)鑑別性。
23. 下列哪一種微處理機信號線,可以擔任輸入/輸出功能? (A)讀寫記憶體控制線 (B)資料線 (C)位址線 (D)中斷請求線。
24. 下列何種記憶體可重複燒錄? (A)EEPROM (B)ROM (C)PROM (D)RAM。
25. 在 IE 11.x 中,下列何處無法放置網頁捷徑? (A)連結工具列 (B)每日小秘訣 (C)記錄資料夾 (D)我的最愛。
26. 在微軟 Outlook Express 軟體中,利用下列何種符號表示該郵件有附件檔案? (A)句號 (B)驚嘆號 (C)迴紋針 (D)分號。
27. 在 BASIC 程式語言中,每輸入一個指(命)令後,立刻進行翻譯,下列何者是此種翻譯程式? (A)直譯程式(Interpreter) (B) 編譯程式(Compiler) (C)文書程式(Word) (D)組譯程式(Assembler)。
28. 下列何者為有效的系統安全措施? (A)限制使用者硬碟使用空間 (B)採用開放性系統(Open System) (C)對使用者設定存取 權限(Access Right) (D)使用電腦網路。
29. 下列何者非屬勞工從事電氣工作安全之規定? (A)停電作業應斷開、檢電、接地及掛牌 (B)穿戴絕緣防護具 (C)使其使用電 工安全帽 (D)穿戴棉質手套絕緣。
30. 下列何者是 LAN 的傳輸速率單位? (A)bps (B)bit (C)Word (D)Byte。
31. 下列何者行為會有侵害著作權的問題? (A)將報導事件事實的新聞文字轉貼於自己的社群網站 (B)以分享網址的方式轉貼 資訊分享於社群網站 (C)將講師的授課內容錄音,複製多份分贈友人 (D)直接轉貼高普考考古題在 FACEBOOK。
32. 下列何者為可正確且及時將資料庫複製於異地之資料庫復原方法? (A)遠端複本(Remote Mirroring) (B)異動紀錄 (Transaction Logging) (C)電子防護(Electronic Vaulting) (D)遠端日誌(Remote Journaling)。
33. BASIC 的程式 PRINT 5 MOD 2 的結果為 (A)2 (B)6 (C)1 (D)0。
34. 以微控制器為核心,並配合適當的周邊設備,以執行特定功能,主要是用來控制、監督或輔助特定設備的裝置,其架構 仍屬於一種電腦系統(包含處理器、記憶體、輸入與輸出等硬體元素),目前最常見的應用有 PDA、手機及資訊家電,這 種系統稱為下列何者? (A)嵌入式系統 (B)個人電腦系統 (C)伺服器系統 (D)分散式系統。
35. 根據消除對婦女一切形式歧視公約(CEDAW)之直接歧視及間接歧視意涵,下列何者錯誤? (A)老闆得知小黃懷孕後, 故意將小黃調任薪資待遇較差的工作,意圖使其自行離開職場,小黃老闆的行為是直接歧視 (B)某公司員工值班注意事 項排除女性員工參與夜間輪值,是考量女性有人身安全及家庭照顧等需求,為維護女性權益之措施,非直接歧視 (C)某 科技公司規定男女員工之加班時數上限及加班費或津貼不同,認為女性能力有限,且無法長時間工作,限制女性獲取薪 資及升遷機會,這規定是直接歧視 (D)某餐廳於網路上招募外場服務生,條件以未婚年輕女性優先錄取,明顯以性或性 別差異為由所實施的差別待遇,為直接歧視。
36. 下列何者不屬於局限空間內作業場所應採取之缺氧、中毒等危害預防措施? (A)進入作業許可程序 (B)實施通風換氣 (C)使 用柴油內燃機發電提供照明 (D)測定氧氣、危險物、有害物濃度。
37. 下列何者不是虛擬化軟體? (A)Visual Studio (B)Xen Hypervisor (C)VMWare ESXi (D)Microsoft Hyper-V。
38. 下列網路上的伺服器(Server),何者提供網站及網頁資源管理? (A)Web Server (B)Proxy Server (C)DNS Server (D)Mail Server。
39. MODEM(調變解調器)之功能為何? (A)多工與解多工的轉換介面 (B)交換機系統的介面 (C)類比信號與數位信的轉換介面 (D)並列傳送與串列傳送的轉換介面。
40. IEEE 制訂的區域網路標準中,其 CSMA/CD 是屬於下列哪一種媒體儲存的規範? (A)IEEE802.1 (B)IEEE802.2 (C)IEEE802.6 (D)IEEE802.3。
41. 有關病毒之敘述下列何者正確? (A)安裝了掃毒軟體電腦就百毒不侵 (B)電腦病毒發作後,電腦就會燒掉 (C)下載不明檔 案,應該先掃毒後再使用 (D)電腦病毒可經由飛沫或接觸傳染。
42. 電腦要透過電信業者的電話線路來傳輸資料需要加裝 (A)解碼器 (B)數據機 (C)變電機 (D)收音機。
43. IDE 介面所採用的資料線為 (A)64PIN (B)40PIN (C)48PIN (D)32PIN。
44. 下列何者「不是」多人多工之作業系統? (A)Windows Server (B)MS-DOS (C)Linux (D)Solaris。
45. 下列何者是文書編輯軟體? (A)PowerPoint (B)Excel (C)Word (D)Access。
46. 依水污染防治法,事業排放廢(污)水於地面水體者,應符合下列哪一標準之規定? (A)水體分類水質標準 (B)土壤處理 標準 (C)下水水質標準 (D)放流水標準。
47. 光碟機(CD-ROM)之光碟片一般標準容量為多少? (A)650KB (B)650MB (C)1.2GB (D)128MB。
48. 在 Linux 系統環境中,下列檔案何者可設定在開機時掛載分割區? (A)/etc/services (B)/etc/smb.conf (C)/etc/fstab (D)/etc/fstab.conf。
49. 下列何者為 RAID(Redundant Array of Independent Disks)技術的主要用途? (A)播放影片 (B)播放音樂 (C)傳輸資料 (D)儲存 資料。
50. 在 Linux 系統環境中,若硬碟 ext2 檔案系統受損,可使用下列何種命令進行修護? (A)ext2fsck (B)chkdsk (C)e2fsck (D)dumpfs。
51. 在正常操作,且提供相同暖氣之情形下,下列何種暖氣設備之能源效率最高? (A)電熱風扇 (B)電熱輻射機 (C)電暖爐 (D) 冷暖氣機。
52. 若示波器的 Time/Div 旋鈕,置於 1.0ms 位置,測量正弦波時,若一個波形之週期佔有 4 格,則此正弦波的頻率為多少 赫芝(Hz)? (A)400Hz (B)250Hz (C)1000Hz (D)4.0Hz。
53. 下列哪一種儀器可用來檢查網路位址重覆設定(Network Address Duplicate)之故障? (A)三用電表 (B)Time Domain Reflectometer (C)Cable Scanner (D)Network Protocol Analyzer。
54. 下列何者為環境保護的正確作為? (A)不隨手關燈 (B)自己開車不共乘 (C)多吃肉少蔬食 (D)鐵馬步行。
55. 外食自備餐具是落實綠色消費的哪一項表現? (A)環保選購 (B)回收再生 (C)重複使用 (D)降低成本。
56. 電腦中的積體電路由哪種化學元素所製成? (A)矽 (B)碳 (C)鈦 (D)鋅。
57. 與公務機關有業務往來構成職務利害關係者,下列敘述何者正確? (A)機關公務員藉子女婚宴廣邀業務往來廠商之行 為,並無不妥 (B)高級茶葉低價售予有利害關係之承辦公務員,有價購行為就不算違反法規 (C)與公務機關承辦人飲宴應 酬為增進基本關係的必要方法 (D)將餽贈之財物請公務員父母代轉,該公務員亦已違反規定。
58. 集合式住宅的地下停車場需要維持通風良好的空氣品質,又要兼顧節能效益,下列的排風扇控制方式何者是不恰當的? (A)淘汰老舊排風扇,改裝取得節能標章、適當容量的高效率風扇 (B)兩天一次運轉通風扇就好了 (C)結合一氧化碳偵測 器,自動啟動/停止控制 (D)設定每天早晚二次定期啟動排風扇。
59. 對於 EPROM 27C512 敘述何者錯誤? (A)CE 為晶片致能接腳 (B)容量為 512 位元組(Bytes) (C)接腳 OE/Vpp 在燒錄 (Program)時,應連接燒錄電壓 (D)可用紫外線清除元件裏燒錄資料。
60. 下列 C/C++程式片段,輸出結果何者正確?
(A)2 (B)1 (C)4 (D)3。
61. Linux 作業系統關機時,下列哪個目錄之資料不會保存? (A)tmp (B)/var (C)/proc (D)temp。
62. 在 Windows 7 安裝過程中,欲開啟命令提示字元視窗,應鍵入下列何者? (A)F10 (B)Shift+F12 (C)Shift+F10 (D)F8。
63. 執行 BASIC 語言程式後 PRINT USING "###";088 後,所出現的結果為 (A)880 (B)808 (C)088 (D)88。
64. 下列哪一種手段會透過網域名稱伺服器(DNS)將合法的網站重新導向到看似原網站的錯誤 IP 位址? (A)僵屍程式 (B)間諜 軟體 (C)網路釣魚 (D)網址嫁接。
65. 為防止勞工感電,下列何者為非? (A)電線架高或加以防護 (B)使用防水插頭 (C)設備有金屬外殼保護即可免接地 (D)避免 不當延長接線。
66. 請問下列何者不是個人資料保護法所定義的個人資料? (A)護照號碼 (B)最高學歷 (C)職稱 (D)身分證號碼。
67. 下列何者為 Linux 作業系統之「系統管理者」的預設帳號? (A)root (B)supervisor (C)manager (D)administrator。
68. 網路電話是利用下列哪一個協定來傳輸語音? (A)CDMA (B)GSN (C)VoIP (D)Telnet。
69. 下列國際環保公約,何者限制各國進行野生動植物交易,以保護瀕臨絕種的野生動植物? (A)華盛頓公約 (B)蒙特婁議定 書 (C)巴塞爾公約 (D)氣候變化綱要公約。
70. 下列何者不是 Windows 7 預設之電源計畫選項? (A)高效能 (B)平衡 (C)環保 (D)省電。
71. 對於資料備份的敘述,下列何者正確? (A)現在的電腦硬體設計非常精良不易故障,不需作備份 (B)按時定期做資料備 份,如果有問題可以將損失降到最低 (C)只要電腦有安裝防毒軟體,不需要做資料備份 (D)如果公司規模不大,基於成本 考量,其實不需做資料備份。
72. 下列何者是 Linux 作業系統之間連線使用的通訊協定? (A)TCP/IP (B)PPP (C)NetBeui (D)IPX/SPX。
73. 假設某一微處理機的處理速度為 10MIPS,請問理論上每分鐘可以處理多少個指令? (A)5x10 的 6 次方 (B)10x10 的 8 次 方 (C)6x10 的 8 次方 (D)5x10 的 8 次方。
74. USB 介面在全速傳輸(Full Speed)模式時,每秒最快傳輸速度為下列何者? (A)1.5Mbits (B)60MBytes (C)12Mbits (D)12MBytes。
75. 某一直流電源供應器,使用三用電表 DCV 檔測得電壓為 12V,再用 ACV 檔但紅色棒插於 OUTPUT,測得電壓為1.0V,則此電源供應器之漣波因數(Ripple Factor)為 (A)1.09 (B)0.083 (C)1.0 (D)0.916。
76. 網際網路英文名稱為下列何者? (A)Local network (B)Extranet (C)Internet (D)Intranet。
77. BIOS 儲存在下列何種元件中? (A)ROM (B)電感 (C)電容 (D)電阻。
78. 溫室氣體排放量:指自排放源排出之各種溫室氣體量乘以各該物質溫暖化潛勢所得之合計量,以 (A)六氟化硫(SF6 ) (B)甲 烷(CH4 ) (C)二氧化碳(CO2 ) (D)氧化亞氮(N2O) 當量表示。
79. 下列何者不是 NFC (Near Field Communication)的功用? (A)電子票證 (B)資料交換 (C)電子錢包 (D)行車導航。
80. 登入時並非以 root 登入,下列哪一個命令可以轉換身分為 root? (A)su (B)ls (C)cd (D)whoami。