所屬科目:技檢◆電腦軟體設計-丙級
1. 下列何種入侵偵測系統(Intrusion Detection Systems)是利用特徵(Signature)資料庫及事件比對方式,以偵測可能的攻擊或事件異常? (A)網路導向(Network-Based) (B)主機導向(Host-Based) (C)知識導向(Knowledge -Based) (D)行為導向(Behavior-Based)。
2. 依勞動基準法規定,雇主應置備勞工工資清冊並應保存幾年? (A)1 年 (B)2 年 (C)5 年 (D)10 年。
3. 下列那一個特殊字元不是 Windows 11 合法檔案名稱的字元? (A)$ (B)\ (C)@ (D)=。
4. 室內裝修業者承攬裝修工程,工程中所產生的廢棄物應該如何處理? (A)河岸邊掩埋 (B)倒在偏遠山坡地 (C)交給清潔隊垃 圾車 (D)委託合法清除機構清運。
5. 下列敘述,何者「不正確」? (A)Unix 系統是屬於多人多工作業系統 (B)Windows NT 為一先佔式多工(Preemptive MultiTasking)且支援多處理器及麥金塔用戶端能力的作業系統 (C)Linux 作業系統是一種多使用者(Multi-user)作業系統 (D)即 時系統一定是連線系統,而連線系統也一定是即時系統。
6. 下列 Visaul Basic.NET 程式,其執行結果為何?
(A)39 (B)53 (C)56 (D)1439。
7. 下列何者不是 NFC (Near Field Communication)的功用? (A)電子錢包 (B)電子票證 (C)資料交換 (D)行車導航。
8. Linux 是屬何種系統? (A)編輯系統(Editor Systems) (B)作業系統(Operation Systems) (C)應用系統(Application Systems) (D) 資料庫系統(Database Systems)。
9. 下列何者不是視窗環境作業系統 Windows 11 中所提供的中文輸入法? (A)嘸蝦米 (B)速成 (C)倉頡 (D)新注音。
10. 解決台灣水荒(缺水)問題的無效對策是 (A)全面節約用水 (B)水資源重複利用,海水淡化…等 (C)興建水庫、蓄洪(豐)濟枯 (D)積極推動全民體育運動。
11. 按菸害防制法規定,對於在禁菸場所吸菸會被罰多少錢? (A)新臺幣 2 萬元至 10 萬元罰鍰 (B)新臺幣 1 千元至 5 千元罰 鍰 (C)新臺幣 2 千元至 1 萬元罰鍰 (D)新臺幣 1 萬元至 5 萬元罰鍰。
12. 下列何者為 RAID(Redundant Array of Independent Disks)技術的主要用途? (A)傳輸資料 (B)播放音樂 (C)儲存資料 (D)播放 影片。
13. 有關藍芽(Bluetooth)技術特性之敘述,下列何者「不正確」? (A)傳輸距離約 10 公尺 (B)傳輸速率約為 10Mbps (C)使用2.4GHz 頻段 (D)低功率。
14. 下列何者不是巨量資料(Big Data)的特性? (A)大量性(Volume) (B)一致性(Consistency) (C)多樣性(Variety) (D)速度性 (Velocity)。
15. 下列何種維護作業,對於電腦執行效能沒有幫助? (A)定時執行重要檔案備份 (B)定時執行磁碟或檔案重組 (C)定時清理資 源回收筒及各種過時的暫存檔 (D)擴充主記憶體容量。
16. 下列何者為正確的電腦病毒預防的觀念? (A)電腦病毒只會破壞軟體,不會破壞硬體 (B)為了資源共享,應該讓大家一起 來使用電腦 (C)電腦病毒不但會破壞軟體,也會破壞硬體 (D)只要有了防毒程式,就可以高枕無憂,不怕中了電腦病毒。
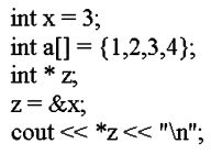
17. 下列 C/C++程式片段,輸出結果何者正確?
(A)3 (B)1 (C)2 (D)4。
18. 下列何者不會使電路發生過電流? (A)電路短路 (B)電路斷路 (C)電氣設備過載 (D)電路漏電。
19. 下列何者「不是」數位簽名的功能? (A)做為信件分類之用 (B)發信人無法否認曾發過信件 (C)證明信件的來源 (D)可檢測 信件是否遭竄改。
20. 對於感電電流流過人體可能呈現的症狀,下列敘述何者有誤? (A)造成組織灼傷 (B)痛覺 (C)血壓降低、呼吸急促、精神亢 奮 (D)強烈痙攣。
21. 我國固定污染源空氣污染防制費以何種方式徵收? (A)依排放污染物之種類及數量徵收 (B)隨使用原料徵收 (C)依營業額徵 收 (D)按工廠面積徵收。
22. 有關數位簽章之敘述,下列何者「不正確」? (A)可加速資料傳輸 (B)有利於電子商務之推動 (C)可提供認證 (D)可提供資 料傳輸的安全性。
23. 下列何者介面可以讓同一程式連結到不同的資料庫來源? (A)ODBC (B)CGI (C)SOAP (D)CORBA。
24. 下列何者不屬於使用者重視的軟體品質特性(非功能性需求)? (A)效率 (B)易用性 (C)可用性 (D)資料庫存取。
25. 下列哪一項是我們在家中常見的環境衛生用藥? (A)乾燥劑 (B)體香劑 (C)殺蟲劑 (D)洗滌劑。
26. 在 Visaul Basic.NET 語言中,若 Dim X As String = "My Test", Y As String = "Basic",則 Console.WriteLine(Right(X,4) + Left(Y, 2))的結果為何? (A)testBas (B)TestBa (C)testbas (D)estBas。
27. 下列何種類型的資訊安全威脅最難預防? (A)人為疏失 (B)機械故障 (C)蓄意破壞 (D)天然災害。
28. 下列何者為 Linux 作業系統之「系統管理者」的預設帳號? (A)root (B)supervisor (C)manager (D)administrator。
29. 一位職場新鮮人剛進公司時,良好的工作態度是 (A)多觀察、多學習,了解企業文化和價值觀 (B)多遊走各部門認識同 事,建立自己的小圈圈 (C)多探聽哪一個公司在找人,隨時準備跳槽走人 (D)多打聽哪一個部門比較輕鬆,升遷機會較 多。
30. 在 Visaul Basic.NET 語言中,若 K=Int(90 * Rnd( ))+10,則 K 之範圍為何? (A)10≦K≦90 (B)1≦K≦90 (C)1≦K≦100 (D)10≦K≦99。
31. 下列何種方式有助於節省洗衣機的用水量? (A)購買洗衣機時選購有省水標章的洗衣機,可有效節約用水 (B)無需將衣物 適當分類 (C)洗衣機洗滌的衣物盡量裝滿,一次洗完 (D)洗濯衣物時盡量選擇高水位才洗的乾淨。
32. 在電腦作業中,下列敘述何者非維護作業安全的主要工作? (A)維持電腦的正常作業 (B)維護設備的安全 (C)保護資料的安 全 (D)軟硬體都應投保。
33. 下列何者為環保標章? (A)(B)(C)(D) 。
34. 下列何者非測試計劃之內容? (A)測試資料型態 (B)測試規格要求 (C)測試預期結果 (D)測試對象選擇。
35. HTML 語法中,<DIV>標記的功能以下敘述何者正確? (A)讓網頁內容左右對齊 (B)以粗體顯示網頁標題內容 (C)以表格 形式組織資料 (D)用於分割網頁視窗框架。
36. 下列流程圖所對應的 Visaul Basic.NET 指令為何?
(A)Goto (B)If...Then...Else... (C)While...Wend (D)For...Next Do...Loop。
37. 下列何者不是系統分析師或程式設計師所製作的系統使用手冊中的內容? (A)系統概述 (B)程式維護記錄 (C)使用手冊目錄 (D)程式操作須知。
38. 下列何者可提供在程式說明書中,程式模組在異動作業時,維持資料的一致性? (A)檔案與程式對應關係 (B)資料檔案結 構表 (C)處理程序與介面描述 (D)檔案與資料對應關係。
39. 下列何者錯誤? (A)MP3 是 MPEG3 的縮寫 (B)MP3 可被用於 MPEG1 音訊編碼 (C)MP3 是一種失真(Lossy)壓縮 (D)MP3 可 被用於 MPEG2 音訊編碼。
40. 下列 Visaul Basic.NET 程式,其執行結果為何?
(A)30 (B)25 (C)110 (D)55。
41. 下列何者不是繪圖軟體? (A)Photoshop (B)Illustrator (C)Unity (D)Visio。
42. 在軟體發展過程中,下列程序何者是用以發掘隱藏於程式中且尚未顯露之錯誤? (A)除錯 (B)設計 (C)測試 (D)維護。
43. 下列敘述,何者「不正確」? (A)RGB 監視器(Monitor)中的 RGB 是指紅綠藍三原色的意思 (B)USB(Universal Serial Bus) 與 SCSI 最大外接週邊裝置數目均為 127 個 (C)PC 電源開啟而螢幕無法顯示時,此現象與鍵盤之連接無關 (D)滑鼠、鍵 盤、掃瞄機都是電腦的輸入裝置。
44. 在 Visual Basic.NET 中,Boolean 變數型態的預設值為何? (A)False (B)0 (C)True (D)1。
45. 下列何者不是使用資料庫的好處? (A)讓多數的使用者、程式間能夠共享資料 (B)節省專案開發經費 (C)確保資料的獨立性 (D)資料的統一管理。
46. 下列何者不屬於職場暴力? (A)語言暴力 (B)家庭暴力 (C)肢體暴力 (D)性騷擾。
47. 關於系統整合測試的方式,下列何者不正確? (A)可分為由上而下和由下而上兩種方式 (B)由上而下測試方法的最大缺點 是必須設計一個虛擬模組(Stub-Module) (C)由下而上測試方法是一種漸增式的軟體結構組合法,沿著控制階層結構 (Condition Hierarchy),從主程式開始,以深度優先(Depth-First)或廣度優先(Breadth-First)的方式往下整合 (D)整合測試 時,可採用由上而下及由下而上混合式的整合方式。
48. 要使軟體專案的開發與需求同步,必須執行以下那一個活動? (A)要求使用者參與系統測試 (B)多人共同開發 (C)需求規格 標示更新版本的記錄 (D)程式加上註解。
49. 任職大發公司的郝聰明,專門從事技術研發,有關研發技術的專利申請權及專利權歸屬,下列敘述何者錯誤? (A)大發 公司與郝聰明之雇傭契約約定,郝聰明非職務上的發明,全部屬於公司,約定有效 (B)職務上所完成的發明,雖然專利 申請權及專利權屬於大發公司,但是郝聰明享有姓名表示權 (C)職務上所完成的發明,除契約另有約定外,專利申請權 及專利權屬於大發公司 (D)郝聰明完成非職務上的發明,應即以書面通知大發公司。
50. 下列何者為整合測試之主要目的? (A)通過使用者驗收 (B)確認模組間介面一致性問題,測試軟體整體功能 (C)確認系統的 可靠度 (D)確認系統功能是否合乎使用者的需求。
51. 下列關於 HTML5 之描述何者「不正確」? (A)HTML5 不需外掛 (Plug-in) 就能播放動畫 (B)HTML5 可以用來設計手機應 用程式 (C)HTML5 不需外掛 (Plug-in) 就可以使用指標直接存取記憶體內容 (D)HTML5 不需外掛 (Plug-in) 就具備繪圖功 能。
52. 下列技術何者是利用硬碟空間來解決主記憶體空間不足之問題? (A)隨機存取記憶體 (B)唯讀記憶體 (C)虛擬記憶體 (D)快取 記憶體。
53. 當程式設計師完成程式設計後需撰寫程式說明書,下列何者非程式說明書中之項目? (A)原始憑證 (B)處理邏輯 (C)流程圖 (D)程式維護記錄。
54. IPv4 Address 10.0.1.2 屬於下列那一種 Class? (A)B (B)D (C)A (D)C。
55. 台灣年降雨量是世界平均值的 2.6 倍,卻仍屬缺水地區,下列何者不是真正缺水的原因? (A)台灣由於山坡陡峻,以及颱 風豪雨雨勢急促,大部分的降雨量皆迅速流入海洋 (B)台灣自來水水價過於便宜 (C)水庫蓋得太少 (D)降雨量在地域、季節 分布極不平均。
56. 下列何者對程式說明文件之敘述有誤? (A)具有溝通意見的功能 (B)具有品質管制的功能 (C)具有修改程式的功能 (D)具有 經驗累積、新手學習的功能。
57. 下列何者不屬於 NoSQL(Not only SQL)資料庫類型? (A)記憶體資料庫(In-memory Database) (B)鍵值資料庫(Key-Value Database) (C)關聯式資料庫(Relational Database) (D)圖學資料庫(Graph Database)。
58. 下列 Visual Basic.NET 程式,若 Text2 為一文字物件,當程式執行完畢時,下列何者正確?
(A)當 c 為 0 時,則 b 為偶 數 (B)當 c 為 1 時,則 b 為質數 (C)當 c 為 0 時,則 b 為質數 (D)當 c 為 1 時,則 b 為偶數。
59. 下列 Visaul Basic.NET 程式,其執行結果為何?
(A)無窮迴圈 (B)_A+BC+DEF_ (C)+A+BC+DEF+ (D)A+BC+DEF。
60. 下列何者不是合法的 IP 位址? (A)120.80.40.20 (B)258.128.33.24 (C)192.83.166.5 (D)140.92.1.50。
61. 關於 MAC(Media Access Control)位址之敘述,何者正確? (A)一部電腦可以使用多個 MAC 位址 (B)MAC 位址是記錄在 CPU 上 (C)MAC 位址要向 ISO(International Organization for Standardization)申請 (D)MAC 位址可以修改。
62. 下列運算何者可處理兩個字串變數,而無法處理兩個數字變數? (A)直接連鎖(Concatenation)合成 (B)邏輯運算 (C)相等比 較 (D)大小比較。
63. 下列關於行動通訊之敘述,何者有誤? (A)4G 通訊技術標準可在時速 200 公里移動中進行資料傳輸 (B)GSM 為一種 2G (Generation) 通訊的技術標準 (C)WiMAX 為一種 3G 通訊的技術標準 (D)4G 通訊技術標準其最高傳輸速率為 4G bps。
64. 下列 Visaul Basic.NET 程式,其執行結果為何?
(A)COMPUT (B)COMPUTER (C)UTER (D)COMP。
65. 按菸害防制法規定,下列敘述何者錯誤? (A)餐廳、旅館設置室內吸菸室,需經專業技師簽證核可 (B)任何人都可以出面 勸阻在禁菸場所抽菸的人 (C)加油站屬易燃易爆場所,任何人都可以勸阻在禁菸場所抽菸的人 (D)只有老闆、店員才可以 出面勸阻在禁菸場所抽菸的人。
66. 關於「像素(Pixel)」的敘述,下列何者「不正確」? (A)影像資料矩陣的一種顏色稱為像素 (B)影像能儲存的最多顏色 數目,是由像素的儲存位元個數來決定 (C)影像資料矩陣的一個元素稱為像素 (D)若像素只有一個位元,則只能表現出兩 種顏色。
67. 下列何者是 WWW 的通訊協定? (A)FB (B)TELNET (C)FTP (D)HTTP。
68. 一個位元組等於多少位元? (A)8 (B)6 (C)7 (D)9。
69. 應用系統開發完成後,必須編寫程式文件,下列何者對程式說明文件之敘述有誤? (A)可以提高系統的價值 (B)方便系統 的維護 (C)利於系統的移交 (D)提高系統的可讀性。
70. 下列 C/C++程式片段之敘述,何者正確?
(A)輸出結果為 the output is:c (B)找出輸入數值最大值 (C)輸入三個變數 (D)找出 輸入數值最小值。
71. 有關電腦衡量單位之敘述,下列何者「不正確」? (A)衡量雷射印表機列印速度的單位是 PPM (Pages Per Minute) (B)衡 量印表機解析度的單位是 DPI (Dots Per Inch) (C)通訊線路傳輸速率的單位是 BPS (Bytes Per Second) (D)磁帶資料儲存密 度的單位是 BPI (Bytes Per Inch)。
72. 在 Windows 11 中,將一文件檔案拖曳至「我的文件夾」圖示時,會產生那一個結果: (A)文件檔案被更新 (B)文件檔案 被複製 (C)文件檔案被印出 (D)文件檔案會消失。
73. 下列何者是屬於 Class B 的 IP 網址? (A)258.128.33.24 (B)140.92.1.50 (C)120.80.40.20 (D)192.83.166.5。
74. 透過 Internet 在 eBay 網站中競標購買別人提出拍賣之蟠龍花瓶,下列電子商務中的交易模式,何者正確? (A)B2B (B)B2C (C)C2C (D)ISP。
75. 對 C 語言的描述,下列何者有誤? (A)最適合作商業性資料處理之語言 (B)兼具高階語言與低階語言之特性 (C)所有變數均 需要宣告 (D)執行速度較一般高階語言快。
76. 下列 Visaul Basic.NET 程式,其執行結果為何?
(A)38 (B)42 (C)36 (D)40。
77. 電力公司為降低尖峰負載時段超載的停電風險,將尖峰時段電價費率(每度電單價)提高,離峰時段的費率降低,引導用 戶轉移部分負載至離峰時段,這種電能管理策略稱為 (A)表燈用戶彈性電價 (B)可停電力 (C)需量競價 (D)時間電價。
78. 在 Windows 11 中,按下[Print Screen]鍵後,下列敘述何者正確? (A)將顯示器目前所顯示的畫面由印表機印出 (B)無作 用 (C)將目前執行的視窗儲存至剪貼簿 (D)將顯示器目前所顯示的畫面儲存至剪貼簿。
79. 下列名詞,何者不是資訊技術中描述速度之單位? (A)MIPS (B)UPS (C)RPM (D)BPS。
80. 下列何者不是靜態影像檔的副檔名? (A)jpg (B)wmv (C)png (D)bmp。